可转债的黄金时代可能已经结束

不好意思标题党了,这里主要从我观察到的数据出发,和大家讨论一下可转债未来隐含预期收益率的观点。

可转债是散户之友,有下有保底上不封顶的好处。从2019年开始,可转债走势强势,回撤小,因此成为了很多集思录友们的重仓品种。万得可转债等权指数走势图如下:


很多集友也开发了基于可转债的增强策略,包括并不限于双低、低溢价等等,可谓百家争鸣。

然而花无百样红,从我的大类资产配置视角,可转债在未来可预见的一段时间,大概率不是最好的资产。这里通过数据和分析,与诸君讨论:

零、可转债超额收益的来源分析

可转债的特征是“下有保底上不封顶”,这是由其定价原理决定的。简单来说可以用以下公式表达:
可转债定价=信用债价值+看涨期权价值=股票价值+看跌期权价值(隐含奇异期权暂不考虑)

由于期权是权利,其价值不低于0(我们可以放弃权利)。因此可转债价格的底线就是股票价值和信用债价值两者孰高,实际的价值还需要增加一部分期权价值。

但这里我要指出的是:很多人往往把“可转债下有保底上不封顶”和“可转债的风险性价比高于股票”这两件事等价。这个观点是完全错误的!!!

1. 可转债超额夏普比的来源剖析
什么意思呢?举一个很简单的例子大家就明白了,固收 (股债混合)基金大家就算没买过也应该了解过。固收 基金如果采用CPPI运作方式,可以完全实现数学逻辑上的“下有保底上不封顶”。

所谓CPPI方式,简单来说就是我的股票配置仓位是根据我的债券预期可获得的利息决定的。如果我配置的债券预计今年可以产生4元的票息,而我买的股票在极端情况下会亏50%,那么基于CPPI思想,我就可以配置8元钱的股票。因为最多亏损8*50%=4元,正好与债券的票息抵消,所以可以做到不肯定亏损。这就是以前公募基金发行过的保本基金的运作原理。

我们回望过去的保本基金,再看看当下满世界的固收 基金,他们都基本上可以认为是“下有保底上不封顶”(起码可以从逻辑上构建)的,但回溯这些产品的风险收益比,我们会发现他们相比可转债要差了一大截。这还是在他们部分配置了可转债的基础上的结果。

上面我们论证了可转债下有保底上不封顶”和“可转债的风险性价比高于股票”是两件事不是一件事,那么问题就来了,可转债风险性价比高于债券和股票的核心原因是什么呢?

我可以给出非常明确的答案:是定价,是可转债隐含期权的定价,是可转债隐含期权的定价在历史上被系统性低估的事实

2.可转债超额夏普比的来源剖析
所以,问题就变成了:怎么理解可转债隐含期权的定价?或者更进一步,怎么判断其高估和低估?最终,我们是否有能力判断可转债是否绝对高估或绝对低估?还是说只能像PE估值一样判断其相对的高估低估?

这里先从一个最简单的例子开始:


上图是一支叫横河转债的妖债,价格500 ,转股价值111元。如果我们用可转债定价公式拆解其价格分配,我们就可以得出:

横河转债价格(520元)=股票价值(111元) 看跌期权价值(409元)=债券价值(99.5元) 看涨期权价值(420元)

这里我们假设其定价是合理的,分开来分析其期权价格隐含了什么样的假设。
(1)债券 看涨期权视角:假设债券无违约风险,那么我们可以简单认为转债定价了看涨期权420元是合理的。如果我们再退一步,假设期权一定会实值行权,那么我们可以简单推导出这个转债隐含的意思是转债的股票价值最少(100%的概率)要从现在的111元上涨到520元,即上涨468%,才能保本。如果不是100%的概率,那么股价的期望值还要进一步拉高,以弥补概率上的损失。
(2)股票 看跌期权视角:这个帐没法算,因为股票最多只值111元,也就是说亏光也就亏111元。期权价值不能大于股票,因此看跌期权最贵也就只应该定价为111元。所以这笔账就没法算了。

从上面的例子,我们可以看出,所谓的妖债(双高债),从可转债定价公式的视角,它本质上就是期权的定价非常的高,高到了几乎不可能的情况。所以长期来看必亏无疑。

这个例子帮助我们可以理解,如果从期权定价的角度理解可转债,那么很多事情会变得无比通透,而且可以估算。

有关期权定价的公式,欧式期权是有明确的显式公式的,即Black-Scholes期权定价模型,而中国的可转债隐含期权是美式期权,理论价值高于欧式期权。所以,理论上我们用BS model的思想可以大致估算出可转债期权定价的下限。

但事实上我们不需要真的套用那样的复杂公式做计算,我们只需要思考期权的价值受哪些因素影响就足够了。

我不想让本文太难,所以就不展示BS的公式了。简单给一下期权定价主要要素的结论:要定价一个期权,需要知道当前的股价、可以行权的股价、利率、期权到期期限和波动率

到了这里,我们就可以思考可转债和股票之间定价差异的真正来源了。
(1)如果是可转债价格隐含的股价被低估了或行权价被高估了,那么可能导致持有可转债的性价比高于持有正股。在这种情况下,很容易推理出,低溢价率情况下,可转债会有稳定的超额收益。(实证观察,有部分的特征,但不稳定)
(2)期限和利率对可转债价格的影响是缓慢的,不太会影响边际定价。(当然近年的利率下降对可转债期权的定价和债底的定价都是有利的)
(3)最重要的,波动率的定价。这个要素是会出现长期系统性偏差的。

这里稍微用极简的例子解释为什么波动率影响期权定价。我买了个看涨期权,保证我可以以1元的价格买入A股票。如果A股票的波动情况是:50%2元,50%0.5元。则我的期望收益=50%*(2-1)=0.5元(0.5元的时候我不行权就好了),这个期权的合理定价是0.5元。如果A股票的波动情况是:50%3元,50%0元,则我的期望收益=50%*(3-1)=1元,此时这个期权的合理定价是1元。

所以,由于期权的保底属性,买期权的人是希望波动率越大越好的。毕竟向上波动大赚,向下波动不亏。

一、可转债定价估值分析——期权定价水平分析

基于上面的分析框架,我参考 @鸭蛋 ,在2021年初对比上证50ETF期权隐含定价 与可转债资产隐含定价得出可转债被系统性低估的思想方法,构建了 可转债股票实际波动率与可转债期权隐含波动率对比的分析。(感谢鸭蛋总,一语值千金)如下:


上图中,蓝线高度=全市场可转债看涨期权中隐含波动率-可转债对应正股的实际历史波动率,其与零轴之间的距离可以认为是其可转债定价与股票之间的性价比。

换句话说,如果我们可以基于可转债的delta用可转债资产模拟出一个对应正股(delta=0.5就配2倍仓位的转债替代1份正股,并动态调整),那么这条蓝线越低,模拟正股对比正股的超额收益就越高,反之则越低。

从结果上来看,我们可以看出历史上可转债的隐波定价长时间低于正股的实际波动率(这其实就是以往可转债夏普比高于股票的核心原因),直至2021年底。到目前达到了一个高位平台,并不再向上攀升。这说明,当前的可转债已经非常昂贵,甚至比正股更贵。持有可转债,如果只从转股期权考虑,未来的资产整体收益回撤比要低于股票。(当然,实际上,由于存在下修等其他期权存在,这个情况不容易发生)

说明一下。我这里拟合的数据历史并不长,因为2017年以前的可转债数量太少,不适合用量化分析全市场可转债。但找了几个个别转债,定价是更低的,比如2014年的中银转债等等

二、可转债定价估值分析——股权定价水平分析

分析完期权,我们需要进一步对可转债的底层股权进行分析,毕竟它依然有着下有保底上不封顶的特征,性价比第一点但可以保底的资产,依然可能对某些风险偏好的人而言是一个好资产。

所以,下一步,我们需要分析可转债对应的底层收益来源:股票的期望收益。

在开始分析之前,我们需要先确定可转债底仓的结构和可对比指数。用上证50明显是一个太粗糙的方法,但到底用哪个进行对标最好呢?一般而言,大家根据股票的结构选用中证1000。这里,万得提供了一个指数:万得可转债概念指数。这个指数相当于所有发行了可转债的股票的等权指数,编制规则如下:


为了方便没有wind的朋友对未来收益期望进行跟踪,我们对万得可转债概念指数与主要指数之间的相关关系进行了测算,以找到和万得可转债概念指数最像的指数:


可以看出,相关性最高的是国证2000指数。当然,前几天我刚在某个帖子中讨论过国证2000指数在2017年是一个虚假的指数,是不存在意义的。所以,大家常用中证1000来代表可转债股票的底层是合理的。

接下来,我们就要开始分析股权的性价比。这里,我们还是引入ERP或Fed 模型,用剔除资金成本的企业盈利期望收益来估算股权资产的长期隐含未来收益。结果如下:


从上图来看,不论是以沪深300为代表的大盘股还是以中证1000为代表的小盘股都在历史极端低估的水平。但利用信用利差调整后的数据,我们可以发现中证1000有中枢上移的特征(这里,我们认为风险回报中枢上移的主要原因在于中国GDP增速中枢g的下移需要更高的回报中枢作为补偿)

同时,若我们将沪深300 与中证1000的隐含回报率进行对比(做差),则可得到下图:


这张图中,我们可以看到正是由于2021年初沪深300相对中证1000的性价比达到了历史极低值,开启了21年初至今长达两年的小盘股强势期(我在当时还有一个预言贴,本来是赌金币的)。而我们观察这个数据的当下,会发现大盘股相对于小盘股的性价比已经是历史上极端高点(反过来说,小盘股性价比极低),而且这个高点已经在9月底见到了(所以10月以来大体是大盘股占优)。

三、可转债定价估值分析——债底定价水平简析

债这头是比较简单的,这里就做最简单的分析。可转债本质上是信用债,但为什么从不违约?原因就在于它可以下修。

下修的本质是什么?是让渡股权人的利益补贴转债持有人。所以,只要股权依然有价值(更准确地说,股权价值>可转债面值),那么转债不违约的金身就大概率不会破。

但是否会出现一个情况,未来股权没有价值了?或者说,历史上这么多转债,为什么没有出现过股价失去价值的情况?

我的答案:
1.过去增速快,货币投放量大,总体资产价值beta向上斜率高,拖可以解决很多问题。但这个情况未来可能不存在。
2. 最重要的是,过去上市公司即使只剩下一张纸。它的价值依然包含几十亿的壳资源价值,有非上市企业愿意通过重组等方式借壳。所以以前有小市值不败神话。
3. 地方政府有保上市公司的动力,推动重组、重整等,散户可以搭便车

那么往未来看,这些因素对于小部分烂到不能再烂的上市公司,可能逐渐不复存在了。因此,未来可转债的债底不是不可动摇的。永远不要赌小概率。

一旦真的某一天违约事件发生,低价可转债的定价逻辑可能会彻底改变,某些风险被突然price in价格。

综上所述,过去长达4年的可转债大牛市大概率就此告一段落。

但这并不代表可转债这个品种本身不好,风水轮流转,它早晚会回来。而且,对于有alpha策略的可转债持有人,未来的收益并不一定低。刚才推算的可转债风险收益比小于正股也只考虑了转股期权,回售、下修期权的价值都未进行计算,这些期权的收益贡献一定都是正数,因此实盘中并不一定真的可转债就比股票差了,可能是持平甚至依然略好。

但可转债的性价比相较过去明显的大幅削弱是不争的事实,需要成熟的投资人提前思考应对。

本文不可转载
发表时间 2022-11-15 12:04     最后修改时间 2022-11-17 10:56     来自上海

赞同来自: 有为法 Timlin1024 青菜chong 塔塔桔 一日就是一天 叶氏家族投资 正出发 一品海参狂想曲 不啻微茫 大卫1988 kytz Jiahonzheng 小小小小小水 war2hack cegang bigbear2046 kaishui 高139 彩虹鸽 普罗旺斯的树 yysongge 八8825555 fkygy Richard99 ananqiqi 长流水中 TNCLZC 郭锁成 夜路沙冷 yongwc neverfailor 静心看世界123 边投资边思考 董先生 k买买买 Royal0000 只赚认知以内 Yogis2020 梦幻哈哈 yjxhwy bdldbh Phecda huang11404 hnhaiou J244609656 bobbyjisi 闲来无事2019 zaviichen 幻想之城 arking83 沙漠之狐 eflikai sssenenaaa 白沙湖 金金金的悟空 国金证券 ericericeric 北壶胖子10000 鼠标1 PTSVT 隔壁稳爷 wind2012 渴了可乐 司马缸不方 sunbird2 树上有青蛙 zf8149 maxnabla opal 海洋0857 Freedom平 大饼炒鸡蛋 Jifandailu 喜欢烧米饭 巴兰 戒盈 音扬 dingo49 陈富生 布拉布拉 outwindow Jackie202009 捡鸡蛋的 积少成多66 杨洪欣1222 十袋几歪 wwwkeke JavaCrab kinkiyf llllpp2016 风险凡不爱 剑客禅心 GLZ0514 plc1989 bigyao lwhsq88 蓝河谷 zsp950 有猫病别躲开 无厘的头 xiaofeng71 观致 狂奔的奶牛 ttttaaaa yc850k xineric 御女雪千寻 Abendusj 大鱼人 hydk 发财牛 rprprp 李恒生 bulles biso 基坛子龙 T81215 莫莫求带飞 功夫熊猫Hi 菠菜咋样 foxbat981 啵波 hexiaoping 要饭的 林玲玲 嘉陵之路 xzwang1123 启森之路 adelaw 转债初试 J686644451 J980577155 浮云随逝水 j18169479927k 富泰轩 wq王其 新新理财 明天休息 坐着看花 soiverson opencasting ella2022 凯歌 zlyrq 李宏泽 J317623308 jvjvj02 孔淑艳 dfgb cyh芋子 纤纤 汉水泳者 小花生爸爸 YZU芭比Q 灿若繁鑫 陈启富 禾玉好茶 cnminlu 琥珀山庄 说乎 爬山虎YU zhubiyou game3000 胖子十八 weiaa 可乐jjleea 悠闲的猫 求学11 pdsctmc shuijingzhu 子小人吴 J841940990 慢慢变富的卿宝 李永怀 刘小逸 chengkai alajessica 蔡升霖 xmf0811 yan3352 奔魔 二毛六点半洗澡 甘甜交响曲 孔曼子 总是人生Guang 此刻即是G J185476546 sky22 goodday201314 常八妮 bohaoist y21557900 ArchShineZ 老因 小二郎bj abaidai 成皿 只有春花岁岁红 caifu 金色米兰 SSR黑猫 昵称没注册过 vondedon unrealww 手会发痒 大y阿飞 winter85 sunxiaoliang tgfocg J024887144 骑着火箭去火星 不疯狂的石头 ZL张 倾听雨落彷 遗失的巴菲特 amphe Simond maggie2007 bluepower8829 毛毛仔 花生吉他 乘贝 满东 boeing767 火星十三粥 dd2777 甘泉 Electronics 我很好你呢 dongbeisong 卡斯蒂亚 geolvr 奇异世界 sulf666 adodo 路林 liyiming 蓝色坚韧球 钟头山 嘟歪 股债讨饭人 宿不移 郭俊 钱大少的钱太少 顽主1 Allen2017 艺饰界 wangxiaopao 忆落 套白狼大人 hippohippo 一骑绝尘1993 pisvia johnny8860 鱼儿他爹 金色朝阳 frogjay haiyu ning594 乌牛头 若水叁仟 欣财富自由之路 面包 zhangsam l93868 乐雨 罗红波 超级肥虾 永别二级 云南的小鹏 songsong0808 cgcgs 弃疾 denmark 路人甲pro shilly 奶茶噜噜 Shandeguiji langlangcha Rookie668 horizon668 浩权 skyblue777 tcm2311 walkerdu chllnyc 菜卜Shihab 一ting可乐 aji008 Boiledwater 搓衣板1 hshpangpang 饕餮攻守可转债 lnitcscq muziyo 我来 美食作家郭德纲 Lucifer1119 蒙蒙飞絮222 大木老师xp 漫步武者 LGZZ 去情绪化 灰机咯 寻找低风险 jacktree Duplicity 二零20大吉大利 阿瞬 Liberia 简单点ss cmszx 可转债拯救世界 夜慕光临Alex 在路上sss asdsky2000 bismackzhang 张阿舍 sg0511 流沙少帅 花过水无痕 joose1983 Kurapica xmboy WiensLHD jack2002 潇潇行舟 步履不停2 你猜再猜 海星 朝阳南街 Wanli012 魂斗罗 vcstone klk117 官拜工部左侍郎 神秘加冰 dpmei davidzeng3 Ake90 miniming apple2019 莽牛 小火星 东楚散汉 chikai881222 上善则举 loveonion 梦想成真啦 活跃资本市场 lvweibo0 韭菜张 geneous kindos place91 genamax 画眉 m飞m 火龙果与榴莲 一场意外 jargma2021 瀚海银沙 一盏青灯 梦想会计师 sothin 阳光下的生活 Ivansaid 孙新苑 flushz fuyda v3kk2 hjndhr 融冰909 大头大头5069 迟来一步 九头 我想吃蛇羹 猪尾巴草77 ccnuwater lid765a lilhan 交易小升 chineseumi Kluer highland 老李2019 我是一个host ftnicko2 尽余力 wugreat 夜风2007 remyyanlin 梦苏 人来人往777 懒人养花 miaomiaoa 闲菜 好奇心135 顺溜哥123 亏的一手好ST qshchenmo 过眼云烟更多 »

1

谢顺喜

赞同来自: SNTTF

那集思录还有存在的必要么
2022-12-07 20:23 来自北京 引用
1

闲来无事2019

赞同来自: hexiaoping

@南阳渔民
,可转债指数快要新高了。
有用吗 赚到钱了吗?
2022-12-05 15:21 来自北京 引用
1

南阳渔民

赞同来自: J254528811

@南阳渔民
写了这么多,看不出有什么实际价值。

我做A股,我基本上不看这些东东,我看重的是搏弈学,行为金融学。心理学。

我基本上不深研企业。如果要赌,基本上是赌政策面。

可转债依然是很好的交易标的。我实在找不出比它更好的品种。也许 当前溢价上来了,但A股比港股,B股,你能下得了手吗? 基本上A股不能投了。

A股专治各种不服。那些深研的,喜欢重压一只股票的,多少人挂了,
,可转债指数快要新高了。
2022-12-05 12:00 来自广东 引用
2

link2000

赞同来自: wangyang661 fengqd

@亏了
T0、低手续费、适当的波动, 有这三样就可以一直愉快的玩下去
再加下修这么个作弊工具,还是最好的赛道。
2022-12-03 22:11 来自上海 引用
0

txxsc

赞同来自:

不一定
2022-12-03 21:40 来自山西 引用
1

lxf0888

赞同来自: J336421456

楼主非常棒
2022-12-02 22:19 来自北京 引用
2

亏了

赞同来自: dsny2006

@亏了
1.整体来看可转债要去溢价,但下跌不会一蹴而就,期间会有不少小周期反弹。2.现在接近小周期坑底,最好抢个反弹再走。3.两年前那种下跌,在未来两年内都不会有,等待黄金底就不必了。4.可转债整体系统性下跌的跌幅可能还不及外面股票一个震荡呢,有什么好怕的呢?我一直满仓可转债轮动,现在也是。
转债整体已经涨了几天,是时候边打边撤了
2022-12-01 12:21 来自广东 引用
1

亏了

赞同来自: J705707375

可转债有很多风格标的标的可以选择,保持警惕,放低预期就好。
2022-11-29 22:27 来自湖南 引用
0

hexiaoping

赞同来自:

新规之后加上行情影响
2022-11-29 18:50 来自四川 引用
0

cjplove - 无脑梭哈致富 认真分析返贫 技术探讨归零

赞同来自:

休息两天卷土重来了
2022-11-29 14:27 来自山东 引用
2

可以搞转谈

赞同来自: 笑起来真好看 sulf666

可转债分时预警密码已经破解了
2022-11-26 08:34 来自广东 引用
1

jangjang - no patience,no golds

赞同来自: 人来人往777

@darksage
确实目前债的性价比不如股,债券市场的资产荒最近是愈演愈烈。
但市场如此偏爱债的原因,是对经济预期的悲观。
这样的预期如果将来反转,按照目前价位来说,买股票赔率是比较高的。但如果经济真的走坏,导致预期更加悲观,那么我们可能买到比现在更便宜的股票。
股债比价,
赔率的天平,已经站在股票这一边。
但胜率的天平,目前还没有。
(我个人对12月非常的警惕,一方面由于去年12月同比基数低,CPI可能回光返照。...
将来经济悲观的预期到底能不能反转?这才是明年博弈的重头戏,有可能会在大家都看不清的时候股票打上去。等过了一年大家看清楚到底有没有反转了,这时已经不重要了,反不反转都跌
2022-11-25 14:10 来自浙江 引用
18

我们的楠楠 - 80后金融民工

赞同来自: 御女雪千寻 liubrother liang 阙为方 长期价值投机手 zlyrq 心系湖湘 丢失的十年 凡先生 闲菜 流浪者 肖申克信徒 拿个小破伦 道山落然 王大胃 塔塔桔 好奇心135 skyblue777更多 »

期权价值没看懂,因为自己没有学过期权。今后也不打算碰期权期货。
股票价值看懂了
中翻中,就是可赚债炒高了,未来涨得概率小了,不涨就跌,跌得概率大了
但是优质转债,靠股票内在价值,还是可以赚到超额收益,这个就难了,不是量化可以解决的。

小票对大票的价值,性价比小了,到了历史高位,
但足球是圆的。不要猜测资金的背后,不理性的程度,不可测的程度,这个没法量化。
市场没法量化的东西太多。要做好准备。

消费可以炒6年到PB10几20倍。我算是见识了。你酱油三个月喝一瓶,炒高了,预期你一天喝一瓶吗?白酒一个礼拜喝一瓶,炒高了,预期你一天喝一瓶吗?
这个炒作手法,不就是2015年的中小创换个故事再来吗?

人才是市场参与的主体。哪里赚钱,大多数人就往哪里去,不会管你性价比的。

唯一可以治愈的方法就是,连续的下跌。
2022-11-25 08:18修改 来自上海 引用
2

纵横基海

赞同来自: 掌牛郎 wz2105

8月下旬至今虽然转债投资收益不如之前连续快速大幅新高,但也是缓慢不断小幅创新高,看到这种文章竟然讨论如此激烈心理放心不少,长期饭票还有的玩。
2022-11-25 04:46 来自上海 引用
6

darksage - α比β重要。投资者要做的是选择一只正确的股票,至于股市自己会照顾自己的。

赞同来自: 心系湖湘 总是人生Guang 塔塔桔 skyblue777 起名不难 sg0511更多 »

确实目前债的性价比不如股,债券市场的资产荒最近是愈演愈烈。

但市场如此偏爱债的原因,是对经济预期的悲观。
这样的预期如果将来反转,按照目前价位来说,买股票赔率是比较高的。但如果经济真的走坏,导致预期更加悲观,那么我们可能买到比现在更便宜的股票。

股债比价,
赔率的天平,已经站在股票这一边。
但胜率的天平,目前还没有。

(我个人对12月非常的警惕,一方面由于去年12月同比基数低,CPI可能回光返照。另一方面,按照这几年的规律,年底总会爆发一波流行。)
2022-11-25 00:08 来自四川 引用
1

v3kk2 - 戒骄戒躁,知行合一。开放心态,虚心学习。

赞同来自: sunpeak

@foxyz
每天涨中字头,这一幕不是好的信号。说明市场正在失去活力
记忆力涨这些大家伙,是大趋势的起点/终点。这位置,可以乐观一点吧。
2022-11-23 13:26 来自陕西 引用
0

hzy7413 - 中庸圆融 如实观照

赞同来自:

@foxyz
每天涨中字头,这一幕不是好的信号。说明市场正在失去活力
只是短暂的情绪而已。资金去往阻力最小的方向
2022-11-23 11:24 来自江苏 引用
2

foxyz

赞同来自: 总是人生Guang xueshen

每天涨中字头,这一幕不是好的信号。说明市场正在失去活力
2022-11-23 10:47 来自浙江 引用
2

山峰1234

赞同来自: 夏天的夏天 nzh718

是没原来挣钱了,原来买个低价,说不定一下翻倍了,现在难了。但比股好,安全,难得亏
2022-11-23 00:00 来自广东 引用
5

亏了

赞同来自: link2000 丢丢不上班 J299227470 nzh718 zhongfh52更多 »

T0、低手续费、适当的波动, 有这三样就可以一直愉快的玩下去
2022-11-22 22:34 来自湖南 引用
0

亏了

赞同来自:

对我这种跌了加仓,涨了拿不住的人来说,可转债现在的状态挺好
2022-11-22 22:31 来自湖南 引用
2

亏了

赞同来自: 丢丢不上班 承天寺小熊猫

可转债整体维持高位有什么好玩的?在我看来可转债跌了才有机会,现在的可转债比以前更好玩了、可以更快买到看好的标的了。
2022-11-22 22:28 来自湖南 引用
0

foxyz

赞同来自:

一早果然涨了中字头,这对转债就不太友好了。转债基本上和国证2000指数正相关。也就是中小盘的股票。之前很多的低溢价大盘银行等等转债今年其实都不是太好。现在风向真的变了
2022-11-22 12:01 来自浙江 引用
1

foxyz

赞同来自: 浦东彭于晏

我的理解是:可转债今年8月以来风险收益下降不少,不过这个品种仍然可以作为一种低风险投资的选项。至于未来是否会回复到非常优质的投资标的,还是得看咱们的大A股市场是否能坚挺向上
2022-11-22 09:17 来自浙江 引用
5

dhhlys - 积重而返

赞同来自: czy34916806 sdu2011 忆落 Boiledwater

@跑撸大湿
以后这样子的言论这个算不算是小作文呢?
要是以后集思录每个帖子都长这样,我做梦都要笑醒
2022-11-21 12:23 来自四川 引用
1

xueshen

赞同来自: 老白四季

现在是戳破泡沫的开始
2022-11-21 11:10 来自河南 引用
45

泛舟Rain

赞同来自: Shawlock zhuqi123456 传达室李老伯 御女雪千寻 liang 明目标稳脚步 阿瞬 影约 豊一样的男子 Jifandailu hjndhr 总是人生Guang miniming 打新交朋友 yjjkwxf 大头大头5069 sdu2011 天道忌巧 yzzhongwei 阿戒1899 hnhaiou JiangSH2020 flybirdlee 高俊华 朝阳南街 yuanzhangsufe dingo49 蓝色坚韧球 apple2019 神秘加冰 lid765a 雷同 zhuzi51 钟爱一玉 joose1983 freetstar89 Penny 匹诺曹Y 九头 甘泉 好奇心135 wuseqi 小会砸 pppppp 乐鱼之乐更多 »

@打新交朋友
@泛舟Rain 泛舟兄的大作除了pb模型那里看不懂,我还真的每句话都看懂了,但看懂和写出来那真的天壤之别,这也是专业人士正规军和游击队的差别。整体观点和我的直觉感官非常一致。我对目前状况的应对就是从确定性出发,集中持有风险可控转债,缩小大饼的份额。大类资产轮动由于能力圈的问题,真心轮不动。只能在熟悉的赛道里进行轮换。
另外好奇的问一下,@泛舟Rain,你这能力是因为本职工作原因还是读了相关博士的...
每天在电脑前正经研究10个小时,主要分配就是阅读和思考。我反应慢,不追热点也看不懂盘面,就只能思考一些慢变量。训练多了总会有点收获。
2022-11-21 09:17修改 来自上海 引用
0

jjduys

赞同来自:

Mark下理解:波动率的期权价值小于上证50,债劵底是小盘股票,股票风格向大盘转向,小盘债底越来越差,趋势向下
2022-11-20 21:29 来自上海 引用
13

打新交朋友 - 孙子的先胜;老子的不争

赞同来自: 御女雪千寻 奔魔 蓝色坚韧球 神秘加冰 sdu2011 dingo49 hnhaiou UniqueLy xueshen 宿不移 zhuzi51 困了学索隆 好奇心135更多 »

@泛舟Rain 泛舟兄的大作除了pb模型那里看不懂,我还真的每句话都看懂了,但看懂和写出来那真的天壤之别,这也是专业人士正规军和游击队的差别。整体观点和我的直觉感官非常一致。我对目前状况的应对就是从确定性出发,集中持有风险可控转债,缩小大饼的份额。大类资产轮动由于能力圈的问题,真心轮不动。只能在熟悉的赛道里进行轮换。

另外好奇的问一下,@泛舟Rain,你这能力是因为本职工作原因还是读了相关博士的系统训练呀
2022-11-20 20:09 来自黑龙江 引用
7

浦东彭于晏

赞同来自: 小啊峰也 施丹160322 舍得888 wdwonderone carson1115 蓝天还是白云更多 »

这不是废话吗?年初就应该反应过来的事情,现在你才反应过来?可转债的估值现在已经好很多了,你又看衰了,典型的追涨杀跌的韭菜啊。。。
2022-11-20 16:29 来自上海 引用
1

四十惑不惑

赞同来自: wdwonderone

以后这样子的言论这个算不算是小作文呢?
2022-11-19 14:58 来自广东 引用
28

caifu

赞同来自: 痴迷的痴狂 三川衡 liang timeamber 塔湾湾流 CAT108 chandler100 猪尾巴草77 哈噶哈 PorcoRosso 月月2021 凡先生 舍得888 御女雪千寻 WiensLHD freetstar89 梦昫2020 jlmscb shiniantony y21557900 IMWWD 理想已实现 ccnuwater hantang001 风云1699 王大胃 蓝天还是白云 丽丽的最爱更多 »

感谢楼主认真的理论分析,
落实到投资,还是要结合个人情况。
像我,不甘于理财利息,
对于股票又没有信心,最后成为那余下的10%,
期权期货,又驾驭不了自我的贪婪与恐惧,
当前,只能在可转债池子里,长期游来游去了。

只是,池子里人是越来越多了,水位也高了,脚不能触底,带着游泳圈,也时常心慌慌。
上岸不甘心,到海里又送命,
心慌就心慌一点吧,至少池子里还有救生圈。

也许,这就是新常态,
也许,黄金期会有轮回,
想多了,也不明白,
能少操些心,多游一会儿,长期生存下来,就不要自行车了
2022-11-19 10:27 来自河南 引用
22

火星十三粥

赞同来自: UniqueLy 传达室李老伯 御女雪千寻 Yjs308 XIAOHULI92 Ake90 流沙少帅 hjndhr 钟爱一玉 飘城 PorcoRosso 拒绝者 ylxwyj 丢失的十年 hydk arking83 泛舟Rain 雪山 pppppp skyblue777更多 »

@weavernet
不太懂这个表达 ,可转债定价 = 股票价值+看跌期权价值,本质上可转债就是看涨期权啊麻烦解释
我理解是对应视角的不同,看涨期权视角是买入债券,对应享有可以随时转化为股票卖出的权利。
看跌期权的视角是把可转债当做股票来买。例如可转债120元,股票价值110元,买的就是110元的股票加上10元的权利金。对应的,当股票下跌时候,我享有以100元的债券价值(行权价)卖出这支股票的权利。
如果说看涨期权是上不封顶,那看跌期权的视角就是下有保底的表达。
2022-11-19 09:52 来自吉林 引用
0

山峰1234

赞同来自:

再怎么样比起股票强,股票一元或才几毛有些还资不抵债的面值炒得那么高溢价,多危险?但超额收益以从弋规则后是没了。
2022-11-19 08:54 来自广东 引用
2

亏了

赞同来自: cgle9169 skyblue777

1.整体来看可转债要去溢价,但下跌不会一蹴而就,期间会有不少小周期反弹。
2.现在接近小周期坑底,最好抢个反弹再走。
3.两年前那种下跌,在未来两年内都不会有,等待黄金底就不必了。
4.可转债整体系统性下跌的跌幅可能还不及外面股票一个震荡呢,有什么好怕的呢?我一直满仓可转债轮动,现在也是。
2022-11-19 07:39 来自湖南 引用
2

genamax

赞同来自: UniqueLy skyblue777

@weavernet
不太懂这个表达 ,可转债定价 = 股票价值+看跌期权价值,本质上可转债就是看涨期权啊麻烦解释
债券下跌有债券保底,相当于买入了股票+认沽期权(期权保险策略)。
2022-11-18 22:55 来自江苏 引用
0

weavernet

赞同来自:

不太懂这个表达 ,可转债定价 = 股票价值+看跌期权价值,本质上可转债就是看涨期权啊
麻烦解释
2022-11-18 21:46 来自陕西 引用
0

今年

赞同来自:

正股不好吗 张家港行 苏州银行 等强赎
2022-11-18 19:11 来自江苏 引用
0

Sybil廖 - 低估+变化

赞同来自:

不懂是不是结束了,只知道看双低均值可转债确实性价比低
2022-11-18 17:47 来自江西 引用
6

山顶晨曦

赞同来自: 我是不是傻了 郭门夷96 bohaoist 蜗牛田 昵称没注册过 hotsosa更多 »

对于聊期权 我们要清楚隐含波动率是通过价格来折合一个未来价格价格的分布列 先有了价格才有分布列 这个不能搞混 而价格又是多外力作用下对供需的一个瞬时反应 在流动性充分的前提下可以理解为市场对未来价格的一个判断

看BS公式 由三组波动率 看涨隐含波动率 看跌的隐含波动率 历史波动率(或者说真实波动率) 这里不在执行价上展开继续展开维度 同向波动率如果偏差过大会出现套利空间(垂直套利) 而异向波动率的可以有较大的差距(升贴水) 这么看问题就相对清晰了

再可转债上 先粗糙的看一遍 分两种讨论
股票加认沽 执行价为100 股票价值为当前转股价值
债券加认购 执行价为当前转股价值 债券价值为纯债价值
再以孰高原则确定一个转债价格
这样分析一定是粗糙的 没有时间 没有利率 没有下修 没有回售 没有区分欧式美式 等等因素 可这提供给你一个简单的思路去模糊评价转债现有价格 而在此你不管多精细的分析都是错的

回到转债本质 是公司融资行为 为了弥补自身信用不足而为低息债券提供了一张期权 那转债应该赚的钱是什么钱 是公司市值向上的钱 本质还是落到了企业 只想倒买倒卖而不去了解公司只怕路走偏了 如果说黄金时代是由于恶意炒作带来的转债指数暴涨 而不能充分反应经济情况 那我认为国家不需要这种黄金时代 我个人也不喜欢这种环境

至于说波动大是在贩卖希望 是因为希望值钱这种言论最好不要相信 因为你在获得希望的时候你已经在为此付出代价了 希望与失望对立且统一 希望来了伴随的自然有失望 以失望为代价获得希望合情合理 不必再用额外金钱去量化希望 而希望与失望平衡的点不一定是无 而是以期望的名义和数学界相交 维度即矢量 具有方向性 看不清楚本质是世人的特性
2022-11-18 17:01 来自云南 引用
0

蓝天还是白云 - 减少回撤,增加阿尔法。

赞同来自:

哪位大佬知道美股的个股期权一年不涨不跌的话,成本大约几个点?
2022-11-17 18:50 来自河南 引用
1

卫庄

赞同来自: Yuen123

大部分转债的期权价值都不高,按期权定价其实都算低估的,当然横河等双高转债期权价值很高,肯定是高估的。
2022-11-17 18:13 来自江西 引用
0

九月森林

赞同来自:

新债便宜,那我配点便宜的新债去,其他不管啦
2022-11-17 17:24 来自上海 引用
5

杰夫司机

赞同来自: 集XFD 等待等待牛市 泛舟Rain skyblue777 神秘加冰更多 »

@泛舟Rain
最后,再给大家一个我交易观察上的证据。我对可转债有一套量化新债上市定价系统,主要是从当前所有可转债的定价估值水平来评估新债上市时期的合理定价。这套系统经过历史回测,可以大致在5%的误差范围内合理定价新上市的新股。这个系统最近一个月发现,新上市的转债出现了持续而稳定的定价低于已上市可转债的情况。而且基本上10支新债中有5、6支是被低估定价的。这可能说明,需要增量资金买入的(对资金边际变动最敏感)的...
关于这一点 我看不少券商固收也有同样的结论,例如下图的中金固收。
2022-11-17 15:18 来自广东 引用
1

shendq

赞同来自: 刘金芳

市场一定会用一种新的方式颠覆经验
2022-11-17 12:15 来自江苏 引用
10

盛唐风物

赞同来自: 阙为方 XIAOHULI92 liang liyiming Yuen123 skyblue777 九月森林 却无浩然气 泛舟Rain更多 »

@泛舟Rain
最后,再给大家一个我交易观察上的证据。
我对可转债有一套量化新债上市定价系统,主要是从当前所有可转债的定价估值水平来评估新债上市时期的合理定价。这套系统经过历史回测,可以大致在5%的误差范围内合理定价新上市的新股。
这个系统最近一个月发现,新上市的转债出现了持续而稳定的定价低于已上市可转债的情况。而且基本上10支新债中有5、6支是被低估定价的。
这可能说明,需要增量资金买入的(对资金边际变动最敏感...
泛舟兄好,这篇帖子写的非常深入,这两天我也在仔细看和学习。

先说说你提到的新债定价。根据我的观察,新规之后炒新热度下降,新债整体定价确实低了一点,但考虑盘子大小和行业、公司质地之后,现在其实整体上还是处于和老债差不多的定价水平。

在过去两三年中,也曾经出现过几次新债定价特别低和特别高的时段,持续时间大概个把月,但并没对老债同时期的定价产生太大影响,不知道这次是不是会不同。

另外债市今年确实高估,我跟踪可转债整体温度的核心指标是溢价偏离,也就是扣除了转股价值对合理溢价影响之后的那部分额外溢价,以历史中位数为参考平衡点。

根据这个指标的记录,债市溢价泡沫最大的时候是今年2月,整体高估了16%左右,但很快就杀了一波溢价,3月就到了10%出头然后维持至今,目前的确也是高估位置,因为哪怕是去年这个偏离也才5%左右。
2022-11-17 12:09修改 来自陕西 引用
1

txxsc

赞同来自: genamax

暴跌了
2022-11-17 11:20 来自山西 引用
32

泛舟Rain

赞同来自: UniqueLy liang 总是人生Guang liyiming 海浪9999 御女雪千寻 jerryH skyblue777 YmoKing 神秘加冰 neverfailor hyok sdu2011 却无浩然气 塔塔桔 流沙少帅 分分钟狮子王 我是阿冰 xjy123 鱼非渔 好奇心135 梦想会计师 三千军甲 mingmingniu 去二不着一 Boiledwater 火星十三粥 集XFD 我很Blue jacktree Wanli012 nkfish更多 »

最后,再给大家一个我交易观察上的证据。

我对可转债有一套量化新债上市定价系统,主要是从当前所有可转债的定价估值水平来评估新债上市时期的合理定价。这套系统经过历史回测,可以大致在5%的误差范围内合理定价新上市的新股。

这个系统最近一个月发现,新上市的转债出现了持续而稳定的定价低于已上市可转债的情况。而且基本上10支新债中有5、6支是被低估定价的。

这可能说明,需要增量资金买入的(对资金边际变动最敏感)的新债已经逐步反映出可转债的边际增量资金开始衰竭。

我知道有一些朋友,比如 @盛唐风物 老师等,也做新债定价,不知道是否和我观察到的情况大致类似?

当然,这个观察只是市场微观结构的一个细节,不能构成对资产定价的判断。但如果结合之前的宏观策略角度分析,或许可以成为一些佐证。
2022-11-17 11:11 来自上海 引用
0

名名123

赞同来自:

@狂奔得蜗牛
基于常识 ,基本上没有债务人愿意还钱。所以下修条款还在的话。转债还是可以搞的
大跌之下 遍地黄金
2022-11-17 10:58 来自广东 引用
24

泛舟Rain

赞同来自: 塔塔桔 newsu shiro1234 lhy5507 xf1973 好奇心135 传达室李老伯 JeddyU jerryH skyblue777 阿戈 Mendel 孙新苑 却无浩然气 Ake90 流沙少帅 edvintracy 火星十三粥 ylxwyj 大魏忠臣毌丘俭 Boiledwater hyok nkfish bismackzhang更多 »

@却无浩然气
我也认为泛舟兄是很优秀的投资者,感谢认可~
下面是讨论部分:
1.期权部分
这里我们的看法差不多,讨论的空间其实不大了,在实际结果出来前很难凭借逻辑的推导得出答案。我感兴趣的其实是一个更大的问题,即“是什么影响了期权的定价”。应该说期权的价格总体还是遵循BS模型的,一些有差异的地方也能通过统计数据和逻辑推导补上,但还有一些问题是它无法解答的,比如日内多次到达同一指数位置的时候,期权的价格往往不同,...
大部分观点都非常赞同。少部分观点我补充一下我的意见:
1.世界三大垃圾桶:资产负债表里面的其他应收款、其他应付款;股票定价里面的估值;期权定价里面的隐含波动率。凡是无法被准确解释的东西统统扔进垃圾桶。这是没有办法的,所以说是科学更是艺术嘛

2.如果我们拆分DDM公式至最细,我们会发现,股价的终极解释就是三个部分:增长率、ROE和折现率(r)。沪深300这么多年的累计收益并没有显著强过小盘股和沪深300的ROE更高并不矛盾。

简单说一下数据结论。这么些年来,沪深300和中证1000的估值中枢都在往下掉,用PE定义的估值本质上就是投资回收期的概念。所以估值中枢的下移可以理解为投资者所需求的长期回报率往上走,而长期回报率在财务上对应最好的指标就是ROE(或者ROIC)。只是沪深300下降得更快,这里我根据沪深300产业结构的观察,认为更多是由于沪深300的行业分布更加偏宏观驱动(经济改善受益更大,经济恶化受损更大),而小盘股相对没那么大。

下面继续引入资产定价的简单拆解:

两个视角的理解:
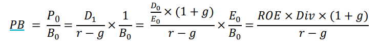
基于PB估值拆解的视角:

基于PB的定价(剩余定价模型,DDM的变形):

上面公式中B为净资产,re为投资者所需要的回报率(折现率)。

用简单的财务数据推导就可以得出,ROE更高的公司,若其股价不变,盈利水平不变,则随着时间的推移,其PB下降的速度会比ROE低的公司更快。而ROE是不包含增速g的,虽然长期来看,如果仅有内生现金流支撑企业发展,ROE=g(金融本科和CPA财务管理课的基础结论)。中证1000由于再融资占市值比重常年高于大盘股,因此其g可以来源于外部融资,相当于外面多接了一根水管,因此导致中证1000中期来看可以在ROE较低的情况下其实际增长率g要高于沪深300的增长率g。



而你提到的中证1000和沪深300之间相对债券的溢价比例差十倍的核心原因就在于这里。较高的g可以补偿较低的ROE继续获得股权价值的增长,所以仅仅用两者比值来看是不行的,需要理解两者之间差异以及存在协整关系背后的本质原因:

这两条线的本质都是不考虑增长前提下的静态资产的预期回报率。之所以两者比值有均值回归的协整关系,是因为资产的长期定价主要矛盾在于其隐含回报率必须在同一时间截面下在风险调整后大致相当。而隐含回报率的共同驱动都是大类宏观要素(经济的量、价、信贷及资本市场流动性),因此大部分时间他们同涨同跌,除非由单一要素驱动,破坏了这种协整关系。(比如2017年的杀壳价值)

而两者
0.长期中枢不同
1.有共同向上移动的趋势
2.有两者收敛的趋势

是因为:
0. g弥补了ROE,这条线没考虑g,只考虑了ROE。所以中枢不同。
1. 中国GDP增速的下滑引导了所有上市公司隐含ROE(同时也是内生增长率g的长期中枢)的下滑
2. 小盘股的增速由于基数较高,因此下滑速度比大盘股更快

所以,在没有修正增长率和小盘股高波动率带来的溢价的情况下,看上去出现了奇怪的十倍溢价率偏差。
2022-11-17 12:25修改 来自上海 引用
5

chisj

赞同来自: coolchan happus yzzhongwei weileanjs

没事,马上机构给你砸出个新的黄金时代
2022-11-17 10:51 来自福建 引用
1

highland

赞同来自: weileanjs

@酱油面
如果溢价一直存在,那么等效于所有人都在溢价交易,进而等效于所有人都坐在火药桶上
你进赌场不就是坐在火药桶上吗
2022-11-17 10:51 来自广东 引用
0

Leon22 - 晚来天欲雪 能饮一杯无

赞同来自:

分析得全都对,基本不认同。转债基本都想转股,九成以上都会转股成功。那些价格低的,感觉投起来还是挺舒服的。
2022-11-17 10:51 来自湖北 引用
0

海敏说钱号

赞同来自:

可转债早就不是优质资产了,这个不需要分析了吧。
2022-11-17 09:32 来自上海 引用
20

landandwater

赞同来自: 御女雪千寻 阙为方 入戏三分 XIAOHULI92 WiensLHD 飘城 风过树梢 wangyang661 丽丽的最爱 大魏忠臣毌丘俭 夏天的夏天 天道忌巧 人来人往777 solino l93868 邓大帅哥 王的天下 lucylv 老实的很 菜鸟老甲更多 »

可转债出现某支违约,对其他转债是重大利好。
首先,比可转债更恐慌的是正股股票。转债违约意味着不能转股正股退市了,发行转债的正股有几家能退市?显而易见的是少数,因此,持有人要好好修炼一下避雷术,炼不好的,摊大饼损失有限,还可能侥幸小额刚兑。
其次,A股市场股票退市是一个漫长的过程。在此期间,转债投资者在下修回售双重利器的保护下,不赌到最后看底牌,从容或少许损失的情况下撤退的可能几率较高。
再者,转债的投资是短期行为,最多六年,最短几个月就可能强赎。一味等黄金坑,可能等到花儿都谢了,看好的转债在一波流的情况下强赎了,只能无花空折枝。
最后,一旦有转债出现违约,低价债尤其是业绩堪忧的低价债会砸下一个大坑,此时敢于出手摊饼或集中胜率会非常高。届时,可能出现分级A全部跌停, @天书 抄大底的极端盛况。
2022-11-17 09:28 来自江苏 引用
0

山顶晨曦

赞同来自:

@火星十三粥
资水大佬不是在推荐让你参与负期望且波动大的标的,他只是在用一个理论来解释为什么会出现妖债这种情况。“推荐”和“解释”的含义显然是不同的。所以我觉得既然你没看到他的原文,这么评价并不合适。
你说的没错 我并没有看到结论 我看到的只是“老师”部分言论 可我反驳的论点在于另一位“兼职老师”的对他的结案陈词 以及“老师”对他回复的赞同 从这个角度看我辩驳的切入点没有不合适

解释和推荐都是陈述句 是一个命题 我只是证其伪
至于说本身出发点不是推荐别人我同意 就像马斯克陈述过一个观点 也仅仅是发了一张狗狗币的图

谬论就是谬论 但相信的谬论的人多了 这谬论就是妖言了 正所谓妖言惑众
2022-11-17 09:28修改 来自云南 引用
12

火星十三粥

赞同来自: Penny XIAOHULI92 amare32 神秘加冰 甘泉 乘贝 Boiledwater 流浪者 我很Blue nkfish 泛舟Rain windlike更多 »

支持楼主。
楼主通过数据和分析给出结论,这是很事实求实的科学态度。至于楼内有人说“虽然如此……但是我还是……”或者不觉得楼主的分析有什么价值,这是个人价值选择的事。互相之间有什么冲突的?有没有可能行为博弈之所以能存在,就是因为我们相信并参与它的存在进而造成的反身性或自反性呢?
非常佩服楼主条理有据的分析,楼主的说法没什么问题。资产的风险和收益是一回事,存在很大的风险并不意味着要大跌,在其他资产长期升值的情况下,这个资产涨不那么充分也是一种风险。相对其他资产的性价比不再了,楼主说的“黄金时代结束”可能指的是这么一回事。
2022-11-17 09:08 来自吉林 引用
5

乞丐

赞同来自: 小啊峰也 蒲明祥 人来人往777 梓浩 南阳渔民更多 »

投资和投机的区别,只不过可转债有锚罢了。非要用公式去套,感觉有点刻舟求剑。
换句话说,假如在股票市场,有人非要用价投的标准去衡量ST股或者某些小盘股的价格,那这些票在价投人的眼里将会变得一文不值,但事实却往往事与愿违,无论价投人怎么看,也不影响某些股票上天。
回到转债里,那些低价不能下修且正股有硬伤,流动性也不足的转债可能更适用于你的结论。
有句话说得好:悲观者负责正确,乐观者负责赚钱
2022-11-17 09:02 来自重庆 引用
4

ljh885

赞同来自: ahelloa 蒲明祥 lucylv 不知子

题目危言耸听,股票那么多退市,也不耽误股市天天嗨,可转债即使出现一支违约,未必其他的就暴跌。
BS模型和其他金融模型一样,有很多假设,发发论文、吹吹牛可以偶尔用一下,用于指导实践,实在是太扯淡。
搞钱就搞钱,非要说自己理念先进,有这个爱好的人还真是不少。
2022-11-17 08:48 来自辽宁 引用
0

火星十三粥

赞同来自:

@山顶晨曦
兄弟 不好意思 因为被这个“老师”拉黑有你引用我才能看到“老师”的言论 所以想借你的楼发表一下我对“老师”言论的看法师者 传道授业解惑也 如果说以前和“老师”的摩擦是出于打神棍的目的那现在我的就应该是在除妖孽了 出于对方年长 我也叫一声老师可是您的说法完全愧对“老师”二字简直是妖言惑众 一派胡言 波动给与一个额外的价值 期望相同没波动的反而价值不如有波动的你告诉“学生们...
资水大佬不是在推荐让你参与负期望且波动大的标的,他只是在用一个理论来解释为什么会出现妖债这种情况。“推荐”和“解释”的含义显然是不同的。所以我觉得既然你没看到他的原文,这么评价并不合适。
2022-11-17 08:30 来自吉林 引用
3

起名不难

赞同来自: 邓大帅哥 九月森林 朱顶红

要说可转债还得说咱们的可转债。做多400元可转债的资金是冲着100元债性保底吗?!还不是因为t0跑得快且比股票大的涨跌幅而来吗?!还真有人拿着等亏75%离场吗?!跟A股股票相比的制度优势带来的资金活跃,才造成了咱们可转债的独有繁荣。
真正低风险的可转债,那是做多100元左右的低价债,只要不违约,就只输时间不输钱。要是哪天打破历史的有债违约了,那100元左右的高溢价率债还不得崩到50?那时候手里的低价债大饼是不是感觉就不那么低风险了?
目前,还没有出现比可转债制度更有套利优势的品种,但只要有债违约,可转债的黄金时代直接跌成st模式,就看敢不敢继续摊饼了,也许市场现在已经反应一些有债违约的预期了。
2022-11-17 07:16 来自内蒙古 引用
3

独孤小强 - 转债新手

赞同来自: 骑马小恐龙 ahelloa WiensLHD

那就继续享受白银时代吧。。。
2022-11-17 06:56 来自上海 引用
43

南阳渔民

赞同来自: coolchan 神秘加冰 老火鸡知行合一 zyc田忌赛马 蒙蒙飞絮222 好奇心135 l93868 塔湾湾流 hantang001 CAT108 御女雪千寻 WiensLHD 蒲明祥 happysam2018 hjndhr 老实的很 惟有饮者留其名 永不止步啊 neverfailor 愚豆酱 明园 jiangyou622 闲菜 gaokui16816888 ahelloa weileanjs 不知子 pppppp 丢失的十年 波波星人 朱顶红 FaithZhang 一路向北幸运草 ziwu geneous 梦想成真啦 持有封基 天道忌巧 套利自由 资水 超级杰克 jxlzqq tlh681101更多 »

写了这么多,看不出有什么实际价值。

我做A股,我基本上不看这些东东,我看重的是搏弈学,行为金融学。心理学。

我基本上不深研企业。如果要赌,基本上是赌政策面。

可转债依然是很好的交易标的。我实在找不出比它更好的品种。也许 当前溢价上来了,但A股比港股,B股,你能下得了手吗? 基本上A股不能投了。

A股专治各种不服。那些深研的,喜欢重压一只股票的,多少人挂了,
2022-11-16 23:42 来自广东 引用
1

山顶晨曦

赞同来自: 云南的小鹏

@ylxwyj
@山顶晨曦
嘿嘿嘿,你这明显是杠精啊~ 碰巧,我也是。我一条条驳你啊。
投资,从来不是啥艺术;就是一个赚钱的手段 —— 不要神化。有没有看过乔杉在黑龙江台的爱笑会议室的小品《美声无罪》?
1、如果你认为需以成败论英雄,那我们完全可以终止交流
嗯,实践是检验真理的唯一标准;如果放到投资上,当然是赚到钱的是英雄,赔了钱的是傻子。
2、搞懂行为金融学的意义何在?
当然是为了提高认知,然后赚认知比我低的人...
杠精就杠精吧 来杠吧起

1.实践是检验真理的唯一标准 那对于一次性先验概率事件如何检验 这是价值观的问题
2. 提高认知不代表你可以赚走认知不如你的人 思维敏锐度高低才是决定上天花板的要素 说白了别人比你聪明学的没你多你一样吃亏 你赚的没每一分钱都是认知的变现 这就是个伪命题 多用于培训机构商业广告 一个老师却看不出来
3. 我崇曾经崇尚套利 也认为是修复市场的重要参与者 可现在开始对此有疑惑 需要突破自我 我也做到了 不知道你怎么看
4. 学术并不高尚 投资也不高尚 你自知是投机者就够了 没人需要定义什么
5. 你还没意识到投资的艺术性那是你修为的问题 不必拿无知当个性
6. 很抱歉 你教不了我 我在十多年前退学了 当时五十多岁的教授都教不了我 你高估自己了
7. 很荣幸你说我是学术派 因为你口中的学术都是靠我自己悟性的 别高估一个高中生
8. 最后我不会因你而嗔 希望能让你回忆起贝叶斯是谁
2022-11-16 23:30 来自云南 引用
0

却无浩然气

赞同来自:

@山顶晨曦
你俩别争了 双方观点我均支持
BS模型最难实现的一点是无套利原则
在这个原则下一切实际的期权问题都难以被准确估值
但是我们并不需要一个十分准确的估值 BS提供了一个很好的思路 在无套利原则下期权价值=收益率期望的差(不同波动率下的)两位都能从这里切入就很好了 至于结果如何 或许他并不重要
嗯,我们在这一点上应该有共识,今天太忙来不及回复,就这样结束最好,到此为止吧。
2022-11-16 23:27 来自浙江 引用
27

却无浩然气

赞同来自: 御女雪千寻 liyiming zcfrank gaokui16816888 hippohippo newsu 枫韵紫秋 长期复利之路 tongzhangji Q6969 流沙少帅 YKK8453 沉默的铁道兵 zddd10 好奇心135 孔曼子 老李2019 ylxwyj RStone 去二不着一 lvweibo0 大头大头5069 Boiledwater 火星十三粥 泛舟Rain skyblue777 路人甲pro更多 »

@泛舟Rain
分析得非常棒,有种抛砖终引玉鸣的感觉。感谢!
1.有关可转债隐含期权定价的问题
首先给观点,我同意中证1000对应的可转债的期权定价可能也应该享受一定的贴水,但应该幅度不大。
还是从贴水的来源讨论,即贴水的买方是中证1000的量化指数增强基金。他们一定能根据自己的超额收益较好地定价IM和MO两个品种。但可转债的隐含期权的定价权我理解,应该还是由可转债交易者把控的,至于交易中证1000的人和交易可转...
我也认为泛舟兄是很优秀的投资者,感谢认可~
下面是讨论部分:
1.期权部分
这里我们的看法差不多,讨论的空间其实不大了,在实际结果出来前很难凭借逻辑的推导得出答案。我感兴趣的其实是一个更大的问题,即“是什么影响了期权的定价”。应该说期权的价格总体还是遵循BS模型的,一些有差异的地方也能通过统计数据和逻辑推导补上,但还有一些问题是它无法解答的,比如日内多次到达同一指数位置的时候,期权的价格往往不同,甚至差异极大。另外有时期权价格会发生短时间的大偏移,回归后又在长时间里保持“正常”的价格。BS模型把它简单归到隐含波动率中,却不能解释为何发生这种变化,这是框架的局限性。
我认为BS模型缺少了关键的一环,即预期或者说情绪,用艺术化一点的话来说,“树上的花还没开,人心中的花已经开了。”BS缺少了对这两种“花”关系的刻画。我心中比较理想的期权模型有两个,一是从期权特性加上市场(或人)的行为来描述,另一个是从竞争演化的角度,不知道泛舟兄对此如何看待呢?

2.大小盘切换
这部分我还是有挺多不同看法的,我们分析的视角相似,都是市值中性加产业逻辑。你说大小票估值都很便宜,且大票更便宜,我认同这个说法,并强调了从某些数据看来说是如此。前面有个集友从估值分位数的角度分析,就是中证1000更便宜啊。我不清楚你这里的估值指的是常见的PE,还是说图中指数隐含回报率的比值,那我两个都说说好了。

我偏爱的指标一般是底层逻辑清晰有力,波动范围比较稳定,时间跨度长,异常值可解释的指标,有助于我们去理解发生的各种现象。来看你最后这张图,大概是因为中证1000的原因,时间是14年底到现在,这个时间跨度我认为是有一定解释力但需谨慎使用,这个地方我是认可的。接下来说不好的地方,从隐含回报率的比值出发,很自然会关注1这个值的位置,这代表了它们相对回报的高低从而决定了大小盘风格切换,而且和两个指数相对表现应该有对应关系,但这个图上面的是什么?沪深300的隐含回报率一直比中证1000高10倍以上,然后它们大小盘风格切换着玩?你所论述的逻辑和你这张图总得完蛋一个吧。。。300的隐含回报大概不到10%,1000大概在3%多一点,减去一个债券收益是可能出现十几倍的比值,那什么东西能补偿十几倍的隐含回报让它两在这个中枢做切换?这两个指数隐含的回报相差如此之大也是不符合我们的观察的,这个论证逻辑有问题,再想想(盈利A/市值A-利率)/(盈利B/市值B-利率)这个值算出来代表什么,前面那个才是隐含回报率,减掉利率后怎么也得是超额回报率。

再来说PE估值的部分,21年初茅宁大行其道,沪深300也创出了近几年的估值高点,大概17.6左右,那么大家知道小盘股最近几年估值最高的是什么时候吗?中证1000和国证2000都在59左右,时间是20年7、8月份。也就是说,小盘股的强势其实不是从21年初开始的,它比大盘股更早创出了估值高点,只不过前半段更多是预期,表现为估值的提升,后面随着业绩持续兑现,给人一种“小盘股真强”的感觉。新能源车订单供不应求行业爆发式增长的起点在19年到20年初这里,对比各指数的行业权重,这个趋势还是很容易看明白的。那这个趋势走完了没有呢?新能车的渗透率中国现在大概30%,全球10%,见仁见智吧。而且各个行业驱动逻辑都不一样,全景还要复杂一点。中证1000现在PE30多一点,到估值高点还能接近翻倍,沪深300则只有60%多的空间,在小盘股基本面没问题的前提下,大盘股一定能强过小盘股吗?

其他我不认同的还有“GDP增速的下降需要提高估值中枢作为补偿”,美国GDP增速比中国低多了,标普500估值也没比沪深300低啊。我的解释是现代社会(依靠技术进步以后)的发展主要依靠新技术的研发应用带来的生产力提高,和生产、销售、管理方面的效率提高,也就是说增量主要靠上市公司来完成,分配也自然会向它们倾斜,虽然GDP增速带来的蛋糕变小了,但是上市公司分到的份额提升了,并不一定带来盈利的下降。
另一个是“大盘股的ROE水平稳定高于小盘股,由于ROE水平的天然不同,小盘股的股价也会被大盘股拉开”,我并没有观察到在长周期来说大盘股表现会更好,如果说一个公司的ROE是利润除以净资产,能体现盈利水平,那一个指数的ROE代表什么?里面所有公司的利润除以大家加起来的净资产?只要保证总的利润和净资产一样,ROE就一样,但此时成份股的组合有几乎无限种,这么多指数的盈利水平都一样吗?

最后说说我对风格切换的理解,两个核心观点:1.景气度是决定切换的关键变量,而价格不是。2.切换在强势品种的高点完成。首先引一句某基金经理访谈中的话做开场:“很多不再增长的行业里的龙头,长期也能有10%的复合增速,但估值可能从10到5,这样的票,可能持有10年还是一场空”。好了,现在我们认为市场上有两个标的,一个景气度高,但价格稍贵,另一个景气度差,但便宜一点,市场各方对两个标的买入卖出的情况如何呢?对于前者来说,价投可以买,趋势可以买,量化可以买,个人机构新手老手都有理由买入,无论他们基于什么理由,但事实就是这样做可以赚钱,愿意买入的会更多还是更少?这时愿意卖出的,主要是不愿吃鱼尾的投资者,对估值容忍度较低的个人和机构,以及相信均值回归等理念的投资者等。风格的切换,需要第一类投资者大量加入到第二类,使得双方力量发生根本改变,但价格的优势很容易被对方业绩的高增长抵消,20年7月小盘股的估值是大盘股的4-6倍,也是近几年小盘股估值的最高点,然而接下来的事实是,小盘股持续走强,大盘股(除了一次冲顶)萎靡至今。业绩,还是业绩,有时候我甚至觉得A股唯一要考虑的就是业绩,其他变量的解释力相比之下都不在一个层次。目前我看不到这个趋势的拐点,那“新”比“旧”强的时候,含“新”量越高指数就越强。

那我为什么说还有一种较小的可能性,直接进行风格切换呢?答案之前的回复提到过了,茅。我举一个我比较熟悉的例子,某公司过去14年营收增长20几倍,利润增长60几倍,股价近100倍,年化收益约41%,这个收益超出了绝大多数公司、行业、指数、国家的常规增长。集友 ylxwyj 有类似但更完整的结论,即绝大多数利润是由极小部分的公司创造的。这批公司在21年初享受了太高的估值,而且公司体量大,受到宏观经济等因素的影响更大,不少行业也确实有各种因素拖累了业绩。它们的盈利预期开始改善的话是足以进行风格切换的,毕竟新兴行业过了爆发期后很难有拿着三四位数的业绩欺负人的机会了,估值中枢也会回落。到时候大家都是各自领域最优秀的公司,长期业绩很难拉开质的差距。所以进行风格切换的话,300也是茅宁领涨,且是大小盘齐飞的情况。

我对小盘股唯一的担心,就是那些先进生产力都上去了,换一堆被淘汰的公司进来,而从PE这些数据是很难看出来的。泛舟兄呢?你怎么想?
有句话我很喜欢,出自某本书的序名,现在也送给你:
真知即是意义。
与君共勉。
2022-11-16 23:25 来自浙江 引用
4

hotsosa

赞同来自: 恺乐lxylhz zhuzi51 skyblue777 微风里暖到心

股票市场之前水分太高了,所以一直有不断减仓股票转战可转债的资金。加上理财市场大发展正好优先以固收角度思考问题,可转债不仅吸引了大类配置中短期进行避险资金,也吸引了部分低风偏理财资金。可转债从前不需要考虑违约,但是历史数据未必考虑过脆弱的基金投资人之间残酷的竞争。可转债一定会比核心资产优秀吗,或者说,市场会一直鼓励一种风格始终赢下去吗,这可能确实要像楼主一样认真去分析数据才行,感谢分享。
2022-11-16 23:06 来自四川 引用
69

ylxwyj - 承认未知 & 用数据说话

赞同来自: YmoKing sunshinemayhy 御女雪千寻 Lee97 happysam2018 权革 XIAOHULI92 J027751709 总是人生Guang zcfrank 七剑下天下 遗失的巴菲特 神秘加冰 无心插柳 songshubaba 孙新苑 独角斋 Boiledwater 伟诚等风来 黑色背包 泛舟Rain 海浪9999 流沙少帅 至味清欢 dhhlys 乘贝 Forestlinn sdu2011 自以为价值投资 柚子不好哭 tangle007 wwqbc zddd10 我顶你可转债 蓝蓝不想努力了 股票交易员 大山1979 gaokui16816888 weileanjs 阳光下的生活 蓝色坚韧球 北冥有鱼L 丢失的十年 llqzxh 仓又加错007 yzzhongwei 捡钢镚 yendo 歌游 可可真真 yongwc duiry 逍遥chen 好奇心135 topdeck 诸葛若愚 卡斯蒂亚 UniqueLy 盒饭的饭盒 蓝天还是白云 钟爱一玉 Niroro 套利自由 zhuzi51 滨湖203 neverfailor更多 »

@山顶晨曦
嘿嘿嘿,你这明显是杠精啊~ 碰巧,我也是。我一条条驳你啊。

投资,从来不是啥艺术;就是一个赚钱的手段 —— 不要神化。有没有看过乔杉在黑龙江台的爱笑会议室的小品《美声无罪》?

1、如果你认为需以成败论英雄,那我们完全可以终止交流
嗯,实践是检验真理的唯一标准;如果放到投资上,当然是赚到钱的是英雄,赔了钱的是傻子。

2、搞懂行为金融学的意义何在?
当然是为了提高认知,然后赚认知比我低的人的钱啊。学术是什么?不管是经济学,还是行为金融学,包括前面说的BS定价公式,本质上都是一种解释(凭啥一定是随机过程、正态分布?要真是这样,LTCM怎么会破产?),不是真理!你以为这种学术有多高尚?哼~

3、资本市场本质是让企业融资,抛开企业聊证券和赌徒有何区别?
我从来没否认自己是赌徒啊 —— 我对股票的态度就是秋扇见捐(按索罗斯的说法就是,在大众认清幻象之前,就赚完走人);作为散户,我对自己的定位是:认知相对较高的投机者;我参与市场交易的目的就是赚钱。
至于我们这种赌徒存在的意义,我正好这两天从@账户已注销 的公众号扒了一张图,林园说:“我们都是寄生虫”—— 我觉得他说得非常对,认识很清醒。


综上,学术并不高尚,投资也不高尚,作为投机者,我自己当然也是相当的不高尚 —— 但这一切不妨碍我们通过提高认知,来赚低认知的人的钱,这就足够了。你力气比别人小,打架输了很正常;同样的,你懂得比别人少,投资上输钱给对方也很正常啊。
嗯,如果有什么价值的话,那么就是通过我们这种人的工作,市场可能成熟一点,也算主观不想做,但客观上还是做出了一丁点贡献吧。

不知道你是不是学生,还在读书啊?
如果是的话,顺便说一句,我还兼职在大学讲课,估计你看到我这样的会气死,哈哈哈。
如果不是的话,嗯~ 祝你工作顺利,我有点担心哦~
2022-11-16 22:54修改 来自北京 引用
1

钟爱一玉 - 所谓常识,是平常人没有的知识。

赞同来自: 神秘加冰

花开折时堪须折,莫待无花空折枝。
2022-11-16 22:41 来自北京 引用
1

山顶晨曦

赞同来自: pppppp

@ylxwyj
值是肯定不值啊,这个我同意;但不妨碍挣钱啊,而且也完全可以从行为金融学的角度去解释。
要是市场真是强有效,那还怎么赚alpha,直接躺平就好了。
如果说不妨碍赚钱 那就成为了以成败论英雄了 同时也不就不知道赚的什么钱 如果这些都不重要 那我们的集思录也就不重要了(如果你认为需以成败论英雄那我们完全可以终止交流)

另外我们不聊alpha 歧义过大 难以引起共鸣

如果说什要从行为金融学或者金融心理学来聊 那就搞懂这学科的意义何在 此时说这个才更是学术 定性过多 证明苍白 甚至无法证明 如果从概率的角度来说 又变成分析条件环境的问题 可是已有的书本不可能分析到未来 那聊这个意义在和何 线性外推?

存在即是合理 不存在的是否合理 ?
我们a股最大的问题是市场不成熟 什么意思 我认为是参与者不成熟 有我国的国庆情决定 那作为目标需要让市场成熟 目前不存在 他合理吗 未来存在了又合理吗 资本市场本质是让企业融资 抛开企业聊证券和赌徒有何区别 别去糟蹋了投资这门艺术
2022-11-16 21:59 来自云南 引用
0

sulf666

赞同来自:

慢慢消化
2022-11-16 21:58 来自浙江 引用
1

酱油面

赞同来自: 神秘加冰

@highland
可转债由于债底属性、t+0及下修制度优势,具有一定的投机性,所以仍会享受一定的溢价
如果溢价一直存在,那么等效于所有人都在溢价交易,进而等效于所有人都坐在火药桶上
2022-11-16 21:30 来自云南 引用
3

海上游客

赞同来自: 烈火情天 沉默的蜗牛 常思考

对任何品种,风险是涨出来的。楼主用数据很好地说明了这一点
2022-11-16 21:17 来自上海 引用
0

ylxwyj - 承认未知 & 用数据说话

赞同来自:

@山顶晨曦
你说的在理 我先点个赞 我承认我是理想完美主义者投前问道 既然大家都定义自己为低风险爱好者 我觉得一些大佬发言还是应该审慎 误导了新人那是不好的 我们之所以沟通没有障碍 是因为都同意用数学期望去描述价值的这个方法我们都明白 这可能并不是唯一的方法 这是术上的选择 没争议每一件事情的选择都有得与失 0.9赔率的标的我都能投资了 凭什么我还需要再付出0.1的溢价呢“老师”说这是因为高波动带来的...
值是肯定不值啊,这个我同意;但不妨碍挣钱啊,而且也完全可以从行为金融学的角度去解释。

要是市场真是强有效,那还怎么赚alpha,直接躺平就好了。
2022-11-16 21:10 来自北京 引用
2

K326

赞同来自: 困了学索隆 爬楼梯啊

很有启发,成交量增加的时候适合交易;低迷的时候,适合投资。
2022-11-16 20:59 来自云南 引用
3

山顶晨曦

赞同来自: zcfrank 复利信徒53 好奇心135

@ylxwyj
我觉得,你的观点太学术派了。
我们来市场是赚钱的;道义放两旁,利字摆中间 —— 道义,也包括学术理论哈~
更何况,经济学理论,扯淡的多了去了。
我也同意那个“数学期望相同,为啥波动大的更贵” —— 因为它在贩卖希望啊,英文的说法就是 buy rumor and sell fact —— 永远是想象空间比现实更值钱。清华的毕业生可能工资不太高,但是,海淀的“学区房”价格高啊;海外留学回来的工资可能...
你说的在理 我先点个赞
我承认我是理想完美主义者

投前问道 既然大家都定义自己为低风险爱好者 我觉得一些大佬发言还是应该审慎 误导了新人那是不好的

我们之所以沟通没有障碍 是因为都同意用数学期望去描述价值的这个方法
我们都明白 这可能并不是唯一的方法 这是术上的选择 没争议
每一件事情的选择都有得与失 0.9赔率的标的我都能投资了 凭什么我还需要再付出0.1的溢价呢
“老师”说这是因为高波动带来的希望 如果这么说 不如说成希望被投资者误判了 而这个逻辑和市场赚钱效应相符 因为绝大多数人都是亏钱 “老师”作为投资食物链的顶端 是备受“世人”期待的 而这个时候“老师”清楚自己的位置 给予了“世人”成为“世人”的方法 这个做法的好坏确实有待商榷

至于到底该怎么投资应该多问问自己 是难得糊涂 还是稀里糊涂 由自己选择
怕就怕一句存在即是合理 存在和合理我并看不出他们的逻辑关系 如果需要再对两个词定义 那就是强盗逻辑了 没必要再探讨 有些东西不是较真 是真怕有人听了当真理用

我也不想否如实践的重要性 毕竟人生苦短 最起码做事前明白一切 多问 凭什么赚钱 赚的什么钱 赚谁的钱 亏了也清清楚楚 多付出溢价不去细想说他就值这个价 自欺欺人 “老师”的惯用计量
2022-11-16 20:47 来自云南 引用
1

那不勒斯1111

赞同来自: zjnbhb

转债做为已上市四五千家上市公司的主要再融资手段,不太可能从根本上发生动摇。

年关将近,019547下跌,,,眼下的问题到是很迫切。
2022-11-16 20:45 来自吉林 引用
1

hzy7413 - 中庸圆融 如实观照

赞同来自: 小会砸

来回拉锯才有意思。一根筋上涨就没法玩了,全强赎了
2022-11-16 20:23 来自江苏 引用
3

huxj2015

赞同来自: 止语1 春江鸭 飘城

做为一名投资可转债20多年的投资者,可以悄悄地告诉大家:根本就不用算这算那,非常简单就可以把钱赚到,并且收益率还不低,只是努力可能(也不一定)多赚点..............其实需且只需关心自己能不能接受最坏的情况发生(目前不考虑公司破产还不了钱或回避有破产风险的公司转债).............
2022-11-16 20:19 来自四川 引用
0

闲来无事2019

赞同来自:

正文字太多没看完,标题我认同,其实我是十分不想认同的,但是实际情况就是最近快四个月了,新规后,就是不行了。。。。我想清仓了。
2022-11-16 20:10 来自北京 引用
46

ylxwyj - 承认未知 & 用数据说话

赞同来自: 新新新韭菜 喜欢吃蔬菜 御女雪千寻 csfires 飘城 Jifandailu jacktree 浪花1990 Kluer hantang001 好奇心135 weileanjs Penny XIAOHULI92 影约 happysam2018 hyok 青菜chong 丢失的十年 大山1979 gaokui16816888 lwhsq88 六毛 明目标稳脚步 老李2019 波波星人 等待等待牛市 coolchan 套利自由 天道忌巧 deerman 司马缸不方 wjl127411 黄山松2007 oie9 资水 人来人往777 王大胃 K326 bismackzhang suijimanbu 超级怂人全靠蒙 宿不移 山顶晨曦 zhuzi51 神秘加冰更多 »

@山顶晨曦
波动给与一个额外的价值 期望相同没波动的反而价值不如有波动的
你告诉“学生们”这是应该的 因为市场不会犯错 你这打哪儿指哪儿的思维什么时候才能实现升华
我觉得,你的观点太学术派了。

我们来市场是赚钱的;道义放两旁,利字摆中间 —— 道义,也包括学术理论哈~
更何况,经济学理论,扯淡的多了去了。

我也同意那个“数学期望相同,为啥波动大的更贵” —— 因为它在贩卖希望啊,英文的说法就是 buy rumor and sell fact —— 永远是想象空间比现实更值钱。清华的毕业生可能工资不太高,但是,海淀的“学区房”价格高啊;海外留学回来的工资可能也不高,但架不住家长送孩子出去读书啊。这些都是“希望”更值钱。人是愿意为了宏大的愿景,给出更高价格的。

同样的,淘股吧做打板的兄弟,不知道自己账户是亏的吗,为啥还这么趋之若鹜?都知道赌场是赚钱的,小赌场甚至会作弊黑你钱,为啥照样有赌客乐此不疲啊?

回到转债上,低价债,一天涨2块钱(算涨2%吧),就是罕见大行情了;而低溢价的,一天涨个20%+ 反而更常见?有人就会去算,前者的数学期望是 2% * 5% =0.1%;后者的数学期望是 20% * 20% = 0.4%;当然选后者啦 —— 生死看淡,直接就干。不说这个逻辑对不对,但确实有很多人会这么想 —— 都觉得自己是天选之子,水平高于平均值。如果他是错的,你就赚他的钱、教育他,让他认识到“社会的险恶”就可以了。

所以,何必纠结对错呢?存在即合理,人性比经济学理论靠谱。
2022-11-16 19:59修改 来自北京 引用
0

顽主1

赞同来自:

股票价值都不知道。高低无法分辨。
2022-11-16 19:07 来自河南 引用
0

顽主1

赞同来自:

大小盘比价非常好,50或100比1000比价价值高,非常正确。
2022-11-16 19:05 来自河南 引用
0

hark2000

赞同来自:

其实就在等一个火星儿,不过那时候肯定是垃圾夹杂着金粒子一起崩。
2022-11-16 19:03 来自江苏 引用
1

山顶晨曦

赞同来自: 却无浩然气

@却无浩然气
提问:沪深300在3856.407点的时候,行权价为3200的期权应该是多少钱?
BS模型计算需要的5个值,标的价格、行权价、存续天数是可以直接得到的,利率r我使用中国债券网期限接近的债券利率,波动率随便拿个期权价格倒推,是0.21,那么对应的6个期限的合约价格是656.6,660.3,668.6,687.9,723.1,759.5,打开你的交易软件看一看,是不是这个价格啦?除了最后一个偏离的有点...
你俩别争了 双方观点我均支持
BS模型最难实现的一点是无套利原则
在这个原则下一切实际的期权问题都难以被准确估值

但是我们并不需要一个十分准确的估值 BS提供了一个很好的思路 在无套利原则下期权价值=收益率期望的差(不同波动率下的)两位都能从这里切入就很好了 至于结果如何 或许他并不重要
2022-11-16 18:59 来自云南 引用
0

山顶晨曦

赞同来自:

@阿瞬
不知道我理解的不对不对,资水兄意思是转债具备双重的波动价值,一是楼主讲到的正股波动率体现出的期权价值,二是转债本身定价不成熟造成的价格波动(主要是向上波动)产生的价值。第二个波动价值体现在投资者愿意付出的一定额外潜伏成本,这也是小盘债估值高的原因。
那么现在第二点被打压了,转债同比损失些一个正的定价区间。
兄弟 不好意思 因为被这个“老师”拉黑
有你引用我才能看到“老师”的言论 所以想借你的楼发表一下我对“老师”言论的看法

师者 传道授业解惑也 如果说以前和“老师”的摩擦是出于打神棍的目的
那现在我的就应该是在除妖孽了 出于对方年长 我也叫一声老师
可是您的说法完全愧对“老师”二字
简直是妖言惑众 一派胡言

波动给与一个额外的价值 期望相同没波动的反而价值不如有波动的
你告诉“学生们”这是应该的 因为市场不会犯错 你这打哪儿指哪儿的思维什么时候才能实现升华

从“老师”的逻辑可以看出只要有波动负和也值得参与 你是希望“学生们”都成为赌徒 还是想借机收割“学生们” 如果强行要把波动带来的刺激算是含有价值 那抱歉 不在一个维度 甚至不知道这两个维度(财富和体验)是否相信相关
2022-11-16 18:48 来自云南 引用
0

超长待机

赞同来自:

还有白银时代
2022-11-16 18:24 来自湖南 引用
1

xiaokenken

赞同来自: 顽主1

@我是绿茶
结束了吗?这是满仓可转债的帐户,还可以吧!
跑赢大盘就yyds
2022-11-16 18:22 来自广东 引用
13

魍者之语

赞同来自: XIAOHULI92 aaron朱 link2000 smilepig Ujg68gy 夜深千帐灯 zyxw风雅颂 梦想永驻我心 GONZHAO hippohippo 闲菜 pppppp更多 »

虽然不玩转债了,还是被楼主的标题吸引进来了。不用这么麻烦算来算去,从转债的基本原理就知道这个时候是转债整体的性价比是很低的。

目前股债价值比已经到了历史高位,也就是说未来大方向是股涨债跌。牛市顶端发行的转债,在过去的股市下跌里,完成了避风港使命,代价是过高的整体溢价率。毫无疑问是跟不上正股反弹速度的,除非大量转债完成下修,何况还有债券进入熊市的负面影响。这类比例占比过高的情况下,转债整体表现是不会理想的。

但是,眼前这些熊市上市的转债不就是宝贝了吗?应该会上来一个抢一个吧。说来说去还是从转债最基本的规则出发,看正股,看债底,看溢价率。
2022-11-16 18:11 来自广东 引用
0

yarctic

赞同来自:

现在公众号上看到的,学习了
2022-11-16 17:31 来自江苏 引用
4

我是绿茶

赞同来自: 花过水无痕 jiandanno1 原点520 景阳的幸福生活



结束了吗?这是满仓可转债的帐户,还可以吧!
2022-11-16 17:12 来自广东 引用
1

highland

赞同来自: GONZHAO

可转债由于债底属性、t+0及下修制度优势,具有一定的投机性,所以仍会享受一定的溢价
2022-11-16 17:11 来自广东 引用
0

gu4823

赞同来自:

@Hope00
只要大部分公司不想还钱和转债能下修,转债依然是对普通散户最友好的品种大部分散户是没有能力去研究公司基本面的,价值投资这两年更是打骨折而转债只要不去追高价债,死守大概率都能赚到钱
可转债容易用德隆大师的三个知道来估算,股票变数太多!
2022-11-16 17:08 来自上海 引用
41

bismackzhang

赞同来自: chichi sunpeak 钟爱一玉 捉螃蟹啦 海浪9999 御女雪千寻 老实的很 朱顶红 夜路沙冷 tongzhangji xiuer 巫灵啊啊呜 明园 jlmscb csfires 超级怂人全靠蒙 阿坤迪亚 懒人养花 酱油面 鱼非渔 K326 喜然88 ttxie 你猜再猜 hzy7413 ylxwyj 三千军甲 沉默的铁道兵 hjndhr xuminjx coolchan 集XFD 愚豆酱 老火鸡知行合一 泛舟Rain ztttttt 盒饭的饭盒 人来人往777 suijimanbu 山羊闲话 瀚海银沙更多 »

我同意楼主关于转债投资的黄金时代已经过去的观点。
另一方面,溢价高是因为人多,人多就有交易性机会。
我这半年反而陆续增加了转债交易性仓位,而且将进一步增加,并切换为自己的主策略。
2022-11-16 15:38 来自北京 引用
3

tlh681101

赞同来自: Jiahonzheng kissne 匹诺曹Y

1;可转债最大的优势在于投资者与上市公司利益的高度契合,双方都不愿意还债。甚至上市公司尤其迫切,所以它会千方百计通过各种手段促使转股;
2;有了上面的基础,下调转股价基本就是水到渠成的事了(如果不想还钱的话);
3;可转债和股票相比 最大的优势在于下调转股价,这是获利的利器;
4;在可转债溢价率高企的情况下,赌临到期的转债(价格在赎回价附近)是一个最佳选择,最终目的就是赌上市公司不想还钱而下调转股价;
5;可转债是个人投资者的最佳投资标的。过去因为量小,很多投资者并没有过多的关注,所以不太被大家认知;
2022-11-16 15:22 来自河北 引用
0

jxlzqq - 只抄底不追高

赞同来自:

毛师两次发言没有给出明确信号
可转债还是观望
2022-11-16 15:05 来自浙江 引用
0

寻衣草 - 万事万物都在变化,但变化的规律是一样的,写点真东西。

赞同来自:

毛大师已经提示大家了,大家都知道该怎么办吧。(狗头)
2022-11-16 15:02 来自四川 引用
0

txxsc

赞同来自:

应该是
2022-11-16 14:48 来自山西 引用
0

胶管

赞同来自:

转债高低,都不影响赚钱,要用发展的角度看问题
2022-11-16 14:35 来自河北 引用

要回复问题请先登录注册

发起人

问题状态

  • 最新活动: 2024-06-07 12:12
  • 浏览: 257065
  • 关注: 971