回头看,2020年底是垃圾债最佳入市时机。首先是各行各业百雷齐放,早前的方正,叠加永煤等国企相继暴雷,让紫光债这个AAA优质行业大公司的债券都能砸到10元出头,这是现在不敢想象的。连浓眉大眼的清控都跌到了30出头,跨行业分散投资能大大降低组合的风险,这是现在的垃圾债市场无法比的。同时,这样大批量的暴雷,让很多投资基金公司的风控措手不及,缺乏侧袋机制的情况下不计成本的抛售,产生了大量套利甚至是利益输送行为。
而目前,随着紫光的大比例兑付,越来越多的机构会进入这个小众领域。这会造成两个负面影响:
1. 债券人主体家数大大增加。毕竟紫光债这个在10元出头维持了上月时间的债券,也才不到600家主体,而厚道的紫光并没有将产品合并投资人计算小额,即使是这样也才1000出头的债权主体。我大胆预测,等到这些地产债破产重整时,参与的主体少说1万家,多则10万家。这样,小额自然会越来越低。
2. 最低成交价格逐步升高。参与者多了,意味着买盘的增加。2020年是10元,2021年是20元,可能2022年最低也得30元甚至40元了,这样性价比会大大降低。也就是说,暴利的时代感觉还没怎么开始,就已经过去了。未来都是风险收益。
所以,虽然经过1年多的实盘,获取了不错的潜在收益,但未来我也不准备增加新的投入了。一个是防止路径依赖,二是垃圾债也并不是我的重仓策略。作为权益的另类补充,小仓位参与即可,不可陷入太深。
另外,对于不了解债券的投资者,我有义务科普一下:
1. 目前普通个人投资者基本只能投资极少的信用债。而合格个人投资者(500万金融资产or50万3年工资流水)也只能购买少量Q债,且价格相对较高,风险较大。这是历史原因造成的,我本人就经历了从毫无限制,到300万个人合格限制,乃至到500万个人合格限制,我就彻底退出了垃圾债。我曾加入了少量维权群,不过只能说历史上某些时刻,散户表面上是胜利了,但是代价是失去了一个好的投资渠道。
2. 当前想要获得可自行操作的能买所有债券的合格机构账户,按我的理解,应该只有两条路开通:第一条路:满足3个条件的公司户可以开权限。(2000万净资产,1000万金融资产,2年以上投资经验的投资人员)第二条路:通过加入某家私募基金,担任私募产品基金经理的形式管理个人资金。第一条路收益需要交25%的企业所得税。第二条路没有企业所得税。概括就是,第一条路费钱,第二条路费人。我不认为存在没有合规风险以及信用风险的第三条路。如果有,请网友们评论指出,我学习一下!
最后,附上当前持仓,也希望这些地产公司能顺利渡过危机时刻,风雨之后是彩虹!
=====垃圾堆持仓2022-1-3=====
华夏幸福债 14000张,成本全价:21 (29.4万)
福建阳光集团:USD200K 成本全价:USD 13.5 (17.3万)
恒大债 6380张 成本全价:30.5 (19.5万)
阳城债 4500张 成本全价:22.5 (10.1万)
奥园债 2500张 成本全价:27 (6.8万)
世茂债 2500张 成本全价:49 (12.3万)
融创债 1680张 成本全价:48 (8.1万)
渤海租赁债 600张 成本全价:12 (0.7万)
紫光债 8500张 成本全价:27(23万)若全部上岸,盈利67万左右
清控债 3700张 成本全价:32 (11.8万)若全部上岸,盈利27万左右
已上岸晟晏债盈利:6万。
合计本金投入:139万
实现盈利:6万
未实现盈利:94万
合计权益:239万
净值:1.7194
仓位:97.5%
2021年垃圾债投资记录:https://www.jisilu.cn/question/400026
chineseumi
- 中国海 · 全栈基金经理
赞同来自: 塔塔桔 、hanbing0356 、laolii 、ahelloa 、孤独的长线客更多 »
策略出金操作,撤出37w初始份额,出金216.1w
初始本金投入:139w (2020-11-1)
撤资:47.1 w (2023-12-29 净值:5.2295)
撤资:216.1w(2024-12-31 净值:5.8404)
等效初始本金:93 w
当前持仓成本: 494.3w
当前持仓债券浮动盈亏:46.30w
当前现金:2.5w
合计权益:543.1w
年初净值:5.8404
当前净值:5.8404
年度净值:1.0000
仓位:99.54%
chineseumi
- 中国海 · 全栈基金经理
赞同来自: qinjp03 、laolii 、zzczzc666 、易尔奇 、火锅008 、 、 、 、 、 、 、更多 »
持仓跟上个月比没有任何变化,就不重复贴持仓了。整个季度回款不到3w,也算是创了新低了。今年开始已经没有在垃圾债上有任何投入了,不过前3个季度的回款还是很不错的,全年合计收回现金219w,单年的现金流入就远超出了4年前的初始投入。已经算是全身而退的,剩下的仓位就当看戏了。
明年的情况就不那么乐观了,房企的现金流也是越来越困难,现金流也是每况愈下,明年估计能回50w就不错了。也真的希望房地产行业能早日触底,慢慢好起来。这样留下的这些债也还有一丁点儿希望吧。
本季现金及实现收益情况:
初始本金投入:139w (2020-11-1)
撤资:47.1 w (2023-12-29 净值:5.2295)
等效初始本金:130 w
当前持仓成本: 494.3w
当前持仓债券浮动盈亏:46.70w
当前现金:218.6w
本季实现收益: 0w
合计权益: 759.20w
年初净值: 5.2295
累计净值: 5.8404
年度净值:1.1168
年化收益率: 52.73%
仓位:71.20%
持仓合计: 230720张
持仓成本: 22.00%
chineseumi
- 中国海 · 全栈基金经理
赞同来自: 塔塔桔 、flytok2 、孤独的长线客 、laolii 、duiry 、 、 、 、 、 、 、更多 »
3季度的继续卖债加兑付,一笔都买有买入,继续净回收现金。美元进入降息周期后,进入全球大放水,那这些地产垃圾债的解决也就指日可待了。虽然防水后原来的100可能只相当于50了,但20以下买的还是问题不大吧。似乎债务的解决,除了防水也没啥好办法,哪里都是,也就是那些存钱的人被动帮忙还债吧。
成交汇总:
月末持仓统计:
本季现金及实现收益情况:
初始本金投入:139w (2020-11-1)
撤资:47.1 w (2023-12-29 净值:5.2295)
等效初始本金:130 w
当前持仓成本: 497.20w
当前持仓债券浮动盈亏:49.70w
当前现金:215.7w
本季实现收益: 32.20w
合计权益: 759.10w
年初净值: 5.2295
累计净值: 5.8394
年度净值:1.1166
年化收益率: 56.95%
仓位:71.58%
持仓合计: 230720张
持仓成本: 22.12%
chineseumi
- 中国海 · 全栈基金经理
群主 用固守平台把债都转出去,回收现金,再寻求别的投资机会是不是更好?要转大多也就10块左右,就当归零好了。十个有一个还钱都比转掉合适。
2024.06群主 用固守平台把债都转出去,回收现金,再寻求别的投资机会是不是更好?
2季度的主旋律就是卖债加兑付,回收了不少现金,这在今年这种行情下还是挺欣慰的。这轮产行业的降杠杆,基本看最后就是到金地、龙湖、万科这个级别之下。未来小额兑付的部分也zhis剩下少量的碧桂园和可能收不回来的奥园。目前看来这次垃圾债的投资赛程已过大半,能收回来的基本都收回来了,收不回来的估计也是个持久战,未来也就只能随缘了。
从2020年11月开始进入垃圾债,至今一共介入了紫光、清控...
chineseumi
- 中国海 · 全栈基金经理
赞同来自: newbison 、孔子不要打我 、股精灵 、图图小二郎 、大不自多纳江河 、 、 、 、 、 、 、 、 、 、 、 、 、 、 、 、 、 、更多 »
2季度的主旋律就是卖债加兑付,回收了不少现金,这在今年这种行情下还是挺欣慰的。这轮产行业的降杠杆,基本看最后就是爆到金地、龙湖、万科这个级别之下。未来小额兑付的部分也zhis剩下少量的碧桂园和可能收不回来的奥园。目前看来这次垃圾债的投资赛程已过大半,能收回来的基本都收回来了,收不回来的估计也是个持久战,未来也就只能随缘了。
从2020年11月开始进入垃圾债,至今一共介入了紫光、清控、渤租、晟晏、阳光城、恒大、华夏幸福、世茂集团、世茂建设、富力、奥园、融创、红星美凯龙、宝龙、融信、融侨、龙光、时代、金科、远洋、旭辉、碧桂园、金地、龙湖、万科、搜特共计26个主体。
目前已经完成或保证盈利退出的有9只(括号中代表赔率):
紫光(5),清控(3),晟晏(1.5),富力(3.5),融创(2),红星美凯龙(3),碧桂园(2.7+),金地(2+),龙光(3)
目前至少已经收回成本的有4只:
渤租、华夏幸福、龙湖、万科
也就是说已经上岸的比例达到了一半,也就是胜率目前看至少是50%以上了,当然,这里包含了不少地产债小额兑付的影响,如果是大资金,胜率可能会大大降低。
而剩下的13只估计就是未来持久战的目标了,这其中世茂、远洋、时代应该算是栽了大跟头,投入相对较多,但回收的相比投入目前比例极小目前看回本的希望渺茫。而恒大、阳光城之流基本可以作归零处理了。剩下的投入也不多,未来稍微回一些,赶上破产重整的话,回本的概率也挺大的。
成交汇总:
月末持仓统计:
本月现金及实现收益情况:
初始本金投入:139w (2020-11-1)
撤资:47.1 w (2023-12-29 净值:5.2295)
等效初始本金:130 w
当前持仓成本: 523.3w
当前持仓债券浮动盈亏:53.9w
当前现金:157.4w
本月实现收益: 50.5w
合计权益: 734.6w
年初净值: 5.2295
累计净值: 5.6509
年度净值:1.0806
年化收益率: 60.56%
仓位:78.57%
持仓合计: 234720张
持仓成本: 22.79%
chineseumi
- 中国海 · 全栈基金经理
赞同来自: 蒲杨梅 、孤独的长线客 、qinjp03 、塔塔桔 、孔老大 、 、 、 、 、 、 、 、 、 、 、更多 »
3月比之前有了进步,买了一笔,卖了一笔。地产债的暴雷最终达到了万科,虽然没有到建仓的30一线,但50多买了点观察这个最优秀学生的表现吧。不过市场认为金地和龙湖似乎解除了危机,价格也逐步回升到了大概率不会违约的价格。今年做多金地和龙湖债的兄弟应该赚的盆满钵满,不过谁又能保证运气这么好,恰好做到这几只呢,反正我没这个能力,就还是坚持低价摊大饼吧。
鉴于垃圾债的交易频率实在太低,这个帖子也就一个季度更新一回吧。
成交汇总:
月末持仓统计:
本月现金及实现收益情况:
初始本金投入:139w (2020-11-1)
撤资:47.1 w (2023-12-29 净值:5.2295)
等效初始本金:130 w
当前持仓成本: 571.4w
当前持仓债券浮动盈亏:84.6w
当前现金:58.9w
本月实现收益: 0w
合计权益: 714.8w
年初净值: 5.2295
累计净值: 5.4986
年度净值:1.0515
年化收益率: 64.89%
仓位:91.77%
持仓合计: 244240张
持仓成本: 23.85%
2024.01本月没有任何一笔交易,全是被动的回收资金,本月回收各类兑付款和利息共计48.1w。由于暂时也没有新增的可投标的了,估计未来很长时间都是这个状态了。这大概也是这个策略最大的问题,就是不可持续,基本是没有办法复利增长的。好在现在权益是低位,回收的现金一部分是可以考虑持续抄底权益类的。另外,虽然这个月收到了小额兑付,收益应该更高些,但是考虑到一些无场内交易的标的价格发生了比较大的变化,所...厉害了
chineseumi
- 中国海 · 全栈基金经理
赞同来自: 孤独的长线客 、gaokui16816888 、wolfcaaa 、arking83 、邹大仙女 、 、 、 、 、 、 、 、 、 、 、更多 »
本月没有任何一笔交易,全是被动的回收资金,本月回收各类兑付款和利息共计48.1w。由于暂时也没有新增的可投标的了,估计未来很长时间都是这个状态了。这大概也是这个策略最大的问题,就是不可持续,基本是没有办法复利增长的。好在现在权益是低位,回收的现金一部分是可以考虑持续抄底权益类的。
另外,虽然这个月收到了小额兑付,收益应该更高些,但是考虑到一些无场内交易的标的价格发生了比较大的变化,所以随着兑付也会逐步对这类标的进行更保守的重估,这样净值也能体现的更平滑些。
成交汇总:
月末持仓统计:
本月现金及实现收益情况:
初始本金投入:139w (2020-11-1)
撤资:47.1 w (2023-12-29 净值:5.2295)
等效初始本金:130 w
当前持仓成本: 582.1w
当前持仓债券浮动盈亏:60.3w
当前现金:48.1w
本月实现收益: 22.0w
合计权益: 690.5w
年初净值: 5.2295
累计净值: 5.3117
年度净值:1.0157
年化收益率: 67.18%
仓位:93.63%
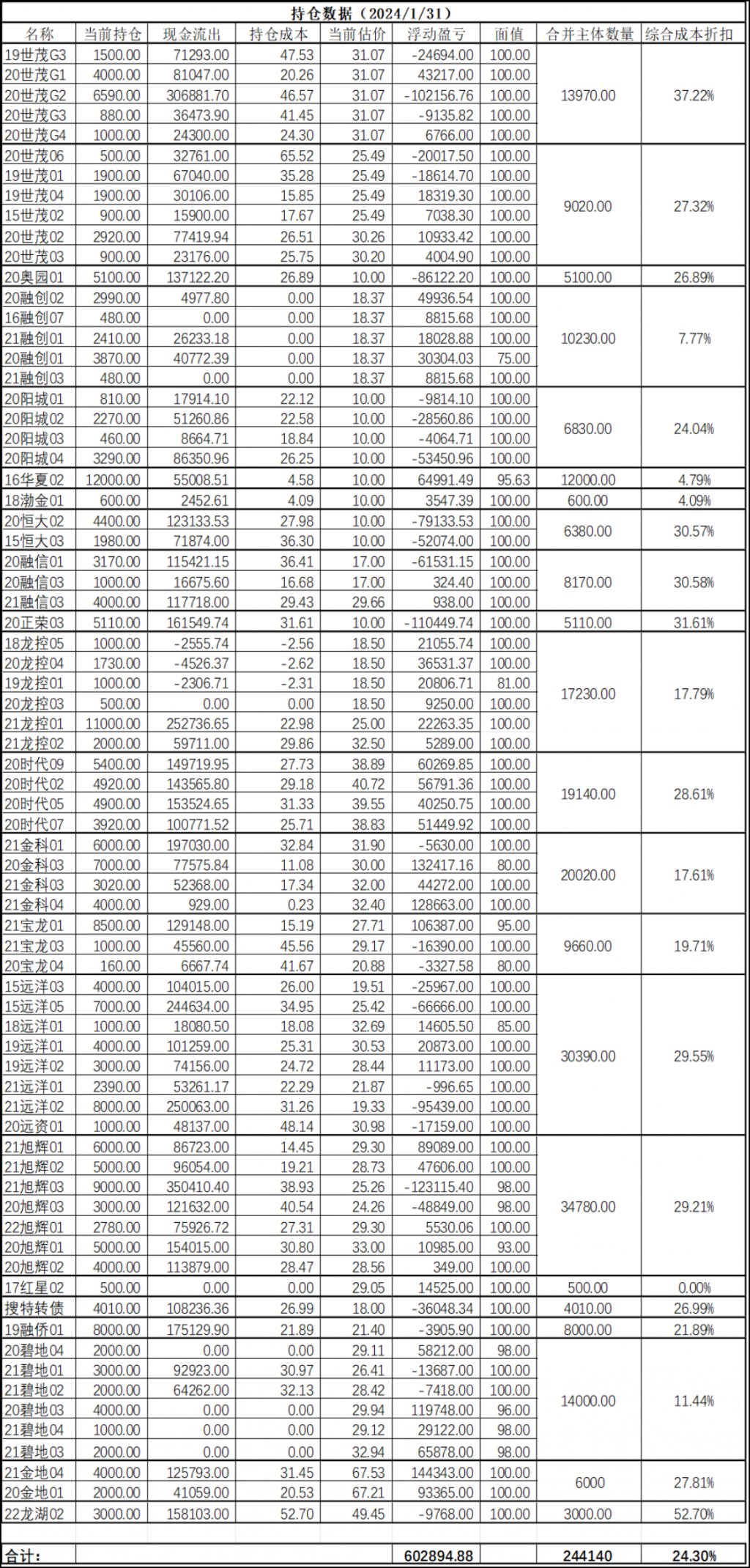
持仓合计: 244140张
持仓成本: 24.30%
易尔奇 - 安待久 渐息散
2023.12这是硕果仅存的玩垃圾债之原教旨主义jsler风格!
今年是这个垃圾债策略大放光彩的一年,收益率远超年初的预期。复盘下,除了去年已经确定的小额兑付方案如龙光、融创等,今年新出现的碧桂园续金地创造了一笔小额资金4个月8倍的战绩,不过容量实在是太小,只能当作一个惊喜。总之,在权益如此拉跨的一年,还是要感谢垃圾债的表现!
不过,再好的筵席也有曲终人散时。虽然我去年就以为地产垃圾债这波结束了,没想到又延续了一年。真的希望这场危机到此就结束了,...
可惜我没开合格机构户,被排斥门外,也被保护了。
chineseumi
- 中国海 · 全栈基金经理
赞同来自: 孤独的长线客 、jackymin001 、夏花秋果 、wpsoy 、火锅008 、 、 、 、 、 、 、 、更多 »
今年是这个垃圾债策略大放光彩的一年,收益率远超年初的预期。复盘下,除了去年已经确定的小额兑付方案如龙光、融创等,今年新出现的碧桂园续金地创造了一笔小额资金4个月8倍的战绩,不过容量实在是太小,只能当作一个惊喜。总之,在权益如此拉跨的一年,还是要感谢垃圾债的表现!
不过,再好的筵席也有曲终人散时。虽然我去年就以为地产垃圾债这波结束了,没想到又延续了一年。真的希望这场危机到此就结束了,由于没有更多可买的标的,这个垃圾债策略也就是主要看已投标的的回款和利息了,也不会增加任何新的投入了。未来也就有机会小额买一买,这个当年打野的策略,由于容量的限制,也很难成为重仓的策略。
年底收盘前将这部分多余现金撤出,买入各宽基权益。
成交汇总:
月末持仓统计:
本月现金及实现收益情况:
初始本金投入:139w (2020-11-1)
撤资:47.1 w (2023-12-29 净值:5.2295)
等效初始本金:130 w
当前持仓成本: 609.0w
当前持仓债券浮动盈亏:71.6w
当前现金:-0.8w
本月实现收益: 16.9w
合计权益: 679.8w
年初净值: 2.6669
累计净值: 5.2295
年度净值:1.9609
年化收益率: 68.67%
仓位:100.12%
持仓合计: 248140张
持仓成本: 25.00%
2023.11这个月是垃圾债大丰收的一个月,一方面是第三只碧桂园债券的小额兑付到账。同时上个月碧桂园小额兑付全部买入的金地涨幅喜人,60左右已经卖掉了2/3获利了结,收获了本月债策略17.67%的月度涨幅,与颓颓的宽基权益持仓形成了鲜明的对比。且本月大幅回款后,仓位已经降到100以下,估计未来交易机会可能也不太多,就以回款为主吧。成交汇总:月末持仓统计:本月现金及实现收益情况:初始本金投入:13...真勇,楼主对于风险的理解异于常人
chineseumi
- 中国海 · 全栈基金经理
赞同来自: flytok2 、孤独的长线客 、没钱个子矮 、新新新韭菜 、duiry 、 、 、 、 、 、 、 、 、 、 、 、 、 、 、 、 、 、 、 、 、 、 、 、 、 、 、 、 、 、 、 、 、 、 、 、 、 、 、 、 、 、 、 、 、 、 、 、 、 、 、 、 、 、 、更多 »
这个月是垃圾债大丰收的一个月,一方面是第三只碧桂园债券的小额兑付到账。同时上个月碧桂园小额兑付全部买入的金地涨幅喜人,60左右已经卖掉了2/3获利了结,收获了本月债策略17.67%的月度涨幅,与颓颓的宽基权益持仓形成了鲜明的对比。且本月大幅回款后,仓位已经降到100以下,估计未来交易机会可能也不太多,就以回款为主吧。
成交汇总:
月末持仓统计:
本月现金及实现收益情况:
初始本金投入:139w (2020-11-1)
当前持仓成本: 612.3w
当前持仓债券浮动盈亏:77.9w
当前现金:26.2w
本月实现收益: 54.5w
合计权益: 716.4w
年初净值: 2.6669
累计净值: 5.1540
年度净值:1.9326
年化收益率: 70.32%
仓位:96.34%
持仓合计: 248640张
持仓成本: 24.91%
chineseumi
- 中国海 · 全栈基金经理
赞同来自: gaokui16816888 、Kluer
大佬,想问您一下,如果买了1000张企业债,然后公司说20w刚兑的话,那么这1000张债券公司要给的钱是只给1000张对应的面额10w,还是说是10w加当期利息呢?谢谢大多数情况是本金加利息,所以面额10w通常会多余10w。但也有个例比如华夏幸福的小额就是兑付10w的。这个要看债权人大会具体的条款描述
2023.10你有4个账户呀?居然兑付了4个小额
本月的交易很简单,收到了碧债的小额回款后,用回来的钱买了金地债,继续静待花开。
成交汇总:
月末持仓统计:
本月现金及实现收益情况:
初始本金投入:139w (2020-11-1)
当前持仓成本: 657.7w
当前持仓债券浮动盈亏:32.0w
当前现金:-80.9w
本月实现收益: 32.0w
合计权益: 608.8w
年初净值: 2.6669
累计净值: 4.3686
...
chineseumi
- 中国海 · 全栈基金经理
赞同来自: 海洋0857 、孤独的长线客 、邹大仙女 、Fanny06 、最爱橘子汽水 、 、 、 、 、 、 、 、更多 »
本月的交易很简单,收到了碧债的小额回款后,用回来的钱买了金地债,继续静待花开。
成交汇总:
月末持仓统计:
本月现金及实现收益情况:
初始本金投入:139w (2020-11-1)
当前持仓成本: 657.7w
当前持仓债券浮动盈亏:32.0w
当前现金:-80.9w
本月实现收益: 32.0w
合计权益: 608.8w
年初净值: 2.6669
累计净值: 4.3686
年度净值:1.6424
年化收益率: 63.69%
仓位:113.28%
持仓合计:260820
持仓成本:25.62%
chineseumi
- 中国海 · 全栈基金经理
请教一下楼主:可以多个账户持有,分散点除了破产重整申报时麻烦点,其他方面都会更好些。交易上择时做的比较少,除非像30以下买的涨到6,70会卖掉一部分,主要还是在根据价差在同主体不同的债券轮动。不过这些都是过去了,现在没啥可交易的了。。。
看到融创的兑付,楼主这些债券是单个主体,多个账户持有的吗?还是多个主体持有的。感觉在小额持续下降,这些债券单个账户持有风险收益比越来越差了。
此外楼主的交易显著降低了持仓成本,非常厉害。主要是做择时还是同主体不同债之间相互倒腾?
看到融创的兑付,楼主这些债券是单个主体,多个账户持有的吗?还是多个主体持有的。感觉在小额持续下降,这些债券单个账户持有风险收益比越来越差了。
此外楼主的交易显著降低了持仓成本,非常厉害。主要是做择时还是同主体不同债之间相互倒腾?
chineseumi
- 中国海 · 全栈基金经理
赞同来自: sostot 、孤独的长线客 、塔塔桔 、小小野鹤 、大7终成 、 、 、 、 、 、 、 、 、 、 、更多 »
本月无任何主动交易,只有被动回款,回款也没有可买标的,没有新的标的就只能慢慢退出了~~~
成交汇总:
月末持仓统计:
本月现金及实现收益情况:
初始本金投入:139w (2020-11-1)
当前持仓成本: 613.1w
当前持仓债券浮动盈亏:44.3w
当前现金:-90.4w
本月实现收益: 34.9w
合计权益: 566.9w
年初净值: 2.6669
累计净值: 4.0788
年度净值:1.5294
年化收益率: 62.19%
仓位:115.95%
持仓合计:247320
持仓成本:25.18%
chineseumi
- 中国海 · 全栈基金经理
赞同来自: yizhouhit 、gaokui16816888
债券现金净投入:-14.0 w谢谢指正!
债券实现收益合计: 21.7 w
6/7/8三个月的债券净投入和债券实现收益是一样的?是不是写错了
刚看了下,应该是,这个不影响净值和现金,疏忽忘了更新7月和8月了,主要是这两个月基本未实现收益,只是降低了持仓成本。。
实际应该是:
6月债券实现收益:21.7w
7月债券实现收益:0.5w
8月债券实现收益:0 w
赞同来自: 便宜货有毒A
2023.08债券现金净投入:-14.0 w
本月碧桂园停牌前给了正式建仓机会,买入到均配。目前杠杆有点高了,同时卖出了少量远洋,相当于把1年内的潜在回款已经全部投出去了,应该地产债的暴雷也该接近尾声了吧。未来就是慢慢回款,降杠杆甚至逐步把垃圾债占全仓的比例下降到10%的初始目标仓位了。不过这个过程可能需要几年的时间。
成交汇总:
月末持仓统计:
本月现金及实现收益情况:
债券现金净投入:-14.0 w
债券实现收益合...
债券实现收益合计: 21.7 w
6/7/8三个月的债券净投入和债券实现收益是一样的?是不是写错了
chineseumi
- 中国海 · 全栈基金经理
赞同来自: 孤独的长线客 、老火鸡知行合一 、老李飞刀009 、好奇心135 、狂奔的奶牛 、更多 »
本月碧桂园停牌前给了正式建仓机会,买入到均配。目前杠杆有点高了,同时卖出了少量远洋,相当于把1年内的潜在回款已经全部投出去了,应该地产债的暴雷也该接近尾声了吧。未来就是慢慢回款,降杠杆甚至逐步把垃圾债占全仓的比例下降到10%的初始目标仓位了。不过这个过程可能需要几年的时间。
成交汇总:
月末持仓统计:
本月现金及实现收益情况:
债券现金净投入:-14.0 w
债券实现收益合计: 21.7 w
持仓统计:
初始本金投入:139w (2020-11-1)
当前持仓成本:642.4w
当前持仓债券浮动盈亏:+30.4w
当前现金:-154.7w
合计权益:518.1w
年初净值:2.6669
累计净值:3.7274
年度净值:1.3977
年化收益率:59.18%
仓位:129.85%
持仓合计:252330张
持仓成本:25.84%
赞同来自: 灵罡不灭
停牌的正常渠道应该都不能买卖了,除非特殊申请(据说一般很难)。那种场内没法交易,但固收或大宗平台上能交易的,找到对手方约定好交易信息就可以在软件上自行交易了。谢谢,具体的我再了解了解
chineseumi
- 中国海 · 全栈基金经理
赞同来自: 东牛子
引用这个就具体问券商吧,我也没有太多经验。
第一条路:满足3个条件的公司户
可以开权限。(2000万净资产,1000万金融资产,2年以上投资经验的投资人员)
请教下楼主,2年以上投资经验的投资人员这一条,广发和安信目前都要求机构有2年以上经验,哪家券商要求机构里的投资人员满足2年以上经验就可以哈?
@bendison
请问这些是不是停牌的债券也可以买卖?具体怎么操作的?停牌的正常渠道应该都不能买卖了,除非特殊申请(据说一般很难)。那种场内没法交易,但固收或大宗平台上能交易的,找到对手方约定好交易信息就可以在软件上自行交易了。
第一条路:满足3个条件的公司户
可以开权限。(2000万净资产,1000万金融资产,2年以上投资经验的投资人员)
请教下楼主,2年以上投资经验的投资人员这一条,广发和安信目前都要求机构有2年以上经验,哪家券商要求机构里的投资人员满足2年以上经验就可以哈?
2023.7楼主是通过加入某家私募基金,担任私募产品基金经理的形式来买卖垃圾债吗?
本月继续买买买,把未来的潜在回款也打出了不少,控制单主体不超过总持仓的20%就好。静待花开!
成交汇总:
月末持仓统计:
本月现金及实现收益情况:
债券现金净投入:-14.0 w
债券实现收益合计: 21.7 w
持仓统计:
初始本金投入:139w (2020-11-1)
当前持仓成本:590.0w
当前持仓债券浮动盈亏:+31.3w
当前现金:-102.4w
合计权益:51...
chineseumi
- 中国海 · 全栈基金经理
赞同来自: Restone 、starcai 、yetoo 、W思故wo在 、孤独的长线客 、 、 、 、 、 、 、 、更多 »
本月继续买买买,把未来的潜在回款也打出了不少,控制单主体不超过总持仓的20%就好。静待花开!
成交汇总:
月末持仓统计:
本月现金及实现收益情况:
债券现金净投入:-14.0 w
债券实现收益合计: 21.7 w
持仓统计:
初始本金投入:139w (2020-11-1)
当前持仓成本:590.0w
当前持仓债券浮动盈亏:+31.3w
当前现金:-102.4w
合计权益:519.0w
年初净值:2.6669
累计净值:3.7337
年度净值:1.4000
年化收益率:61.59%
仓位:119.72%
持仓合计:234510张
持仓成本:25.57%
chineseumi
- 中国海 · 全栈基金经理
赞同来自: 孤独的长线客 、好牌烂打落跑 、逍遥chen 、姜太虚 、qinjp03更多 »
本月回收了红星的小额,继续买入远洋,只不过远洋价格确实高了点,未来只要有更好的价格,回款就还是慢慢买吧,静待反转。
成交汇总:
月末持仓统计:
本月现金及实现收益情况:
债券现金净投入:-14.0 w
债券实现收益合计: 21.7 w
持仓统计:
初始本金投入:139w (2020-11-1)
当前持仓成本:520.0w
当前持仓债券浮动盈亏:+23.4w
当前现金:-32.7w
合计权益:510.6w
年初净值:2.6669
累计净值:3.6735
年度净值:1.3774
年化收益率:63.08%
仓位:106.41%
持仓合计:205510张
持仓成本:25.77%
参考主贴有解释,目前最容易的应该是满足条件的普通公司户了。私募产品户的门槛已大大提高,且对于债券的投资监管更严,之前没办好的话,现在基本已经很难了。。。开通之后该咋找到交易对手方呢?
chineseumi
- 中国海 · 全栈基金经理
赞同来自: gaokui16816888
请问楼主,怎么开通垃圾债的投资资格呢。参考主贴有解释,目前最容易的应该是满足条件的普通公司户了。私募产品户的门槛已大大提高,且对于债券的投资监管更严,之前没办好的话,现在基本已经很难了。。。
chineseumi
- 中国海 · 全栈基金经理
赞同来自: 塔塔桔 、孤独的长线客 、flytok2 、gaokui16816888 、蓝河谷 、 、 、 、 、更多 »
本月回收了旭辉的小额,又绝大部分投出去了,主要是新买了融侨、搜特转债以及又继续补充了一些龙控。垃圾债居然又杀回来了,这是年初完全没有想到的,只要继续还有合适的标的,就继续买。远洋、碧桂园、万达们再加加油,未来看你们的表演了~
成交汇总:
月末持仓统计:
本月现金及实现收益情况:
债券现金净投入:-9.7 w
债券实现收益合计: 60.2 w
持仓统计:
初始本金投入:139w (2020-11-1)
当前持仓成本:512.2w
当前持仓债券浮动盈亏:+28.8w
当前现金:-46.7w
合计权益:494.3w
年初净值:2.6669
累计净值:3.5560
年度净值:1.3334
年化收益率:63.57%
仓位:109.45%
持仓合计:203960张
持仓成本:25.58%
2023.4上个月买入不少的旭辉算是踩了个小雷,不过影响还好,之前旭辉债高位减持赚的钱基本还回去了。4月意外又多了远洋这个标的,只是价位没有到很低,只是把去年底减仓的买了回来,如果未来没有进一步的暴雷估计也买不了多少了。这个月买完后也几乎算是把下个月预期回款都投出去了。成交汇总:月末持仓统计:本月现金及实现收益情况:债券现金净投入:38.93w债券实现收益合计: 0 w持仓统计:初始本金投入:1...大佬,您这些债固收平台交易为主,后续的计划是交易还是等待兑付?
chineseumi
- 中国海 · 全栈基金经理
上个月买入不少的旭辉算是踩了个小雷,不过影响还好,之前旭辉债高位减持赚的钱基本还回去了。4月意外又多了远洋这个标的,只是价位没有到很低,只是把去年底减仓的买了回来,如果未来没有进一步的暴雷估计也买不了多少了。这个月买完后也几乎算是把下个月预期回款都投出去了。
成交汇总:
月末持仓统计:
本月现金及实现收益情况:
债券现金净投入:38.93w
债券实现收益合计: 0 w
持仓统计:
初始本金投入:139w (2020-11-1)
当前持仓成本:461.8w
当前持仓债券浮动盈亏:+63.7w
当前现金:-56.5w
合计权益:469.0w
年初净值:2.6669
累计净值:3.3745
年度净值:1.2653
年化收益率:63.05%
仓位:112.04%
持仓合计:187950张
持仓成本:25.09%
chineseumi
- 中国海 · 全栈基金经理
赞同来自: vulcanu 、孤独的长线客 、qinjp03 、hippohippo 、gaokui16816888 、 、 、更多 »
3月旭辉继续不让人走,上个月的回款和这个月回款悉数都投出去了。碧桂园也被吓的80以下清了仓,毕竟向上空间有限了,向下又是30,索性卖掉就薅了。继续买入低价标的,不过旭辉近期加的有点猛,目前仓位又升到了100%以上了,而且月末融创回款的小额利润貌似抵消了旭辉的跌幅,本策略几乎回到了最高点。感觉很难预测的情况下,就顺其自然回款定投还是挺省事的。
成交汇总:
月末持仓统计:
本月现金及实现收益情况:
债券现金净投入:26.0w
债券实现收益合计: 16.9 w
持仓统计:
初始本金投入:139w (2020-11-1)
当前持仓成本:422.9w
当前持仓债券浮动盈亏:+68.9w
当前现金:-17.5w
合计权益:474.2w
年初净值:2.6669
累计净值:3.4115
年度净值:1.2792
年化收益率:66.36%
仓位:103.70%
持仓合计:177950张
持仓成本:24.30%
赞同来自: gaokui16816888 、chineseumi
债券现金净投入:-26.8w
债券实现收益合计: 28.3 w
持仓统计:
初始本金投入:139w (2020-11-1)
当前持仓成本:380.0w
当前持仓债券浮动盈亏: 74.1w
当前现金:8.5w
合计权益:462.5w
“债券现金净投入”=现金流量表
“债券实现收益合计”=利润表
"持仓统计"=资产负债表
chineseumi
- 中国海 · 全栈基金经理
赞同来自: xineric
看明白了,你是对的,那再问一下,“当前持仓成本”是怎么计算的,比如2月的龙光持仓1500张,成本40,兑付了500张,剩余1000张的成本怎么计入当前持仓成本?当前持仓成本就是对于某单只债券,现金流出 - 现金流入 为正时记为成本,月底记账是若负,则记为已实现收益,然后成本记为0。
比如某只龙光债20元全价买入的话,现金流出 30000, 持仓1500张。2月时兑付500张,现金流入50000元,成本就变成了-20000,在月底我就会记录20000的已实现收益,然后这只债1000张成本记为0。对于净值来说,这和一直把负成本记载账上,收益记作浮动收益效果是一样的。只是我不太喜欢负成本的记录方式,就在每月把这部分记作已实现收益,因为未来再怎么跌,也只会影响到浮动收益而已了。
应该没错,现金是买入、卖出和兑付才发生变化,实现收益是卖出或兑付减去成本决定的。同时算的话现金就变多了。现金只跟现金流量表有关,收益是利润表决定的,我最早的一些时候算的有些绕,可能有的时候算的有误,现在应该都调整正常了。看明白了,你是对的,那再问一下,“当前持仓成本”是怎么计算的,比如2月的龙光持仓1500张,成本40,兑付了500张,剩余1000张的成本怎么计入当前持仓成本?
大概就是:
当前现金=初始现金投入+卖出+兑付-买入
当前净资产=当前现金+持仓成本+浮动盈亏
而确认收益只是个账目调整,是成本和浮动盈亏两者间的转移,不涉及现金的变化。
大家看...
chineseumi
- 中国海 · 全栈基金经理
赞同来自: vulcanu 、蓝河谷 、hippohippo 、npc小许
2月以兑付回收为主,却又被旭辉拽了回来。仓位也降到了100%以下了,不过现在能交易的标的也寥寥无几了!
成交汇总:
月末持仓统计:
本月现金及实现收益情况:
债券现金净投入:-26.8w
债券实现收益合计: 28.3 w
持仓统计:
初始本金投入:139w (2020-11-1)
当前持仓成本:380.0w
当前持仓债券浮动盈亏:+74.1w
当前现金:8.5w
合计权益:462.5w
年初净值:2.6669
累计净值:3.3271
年度净值:1.2475
年化收益率:67.67%
仓位:98.17%
持仓合计:162930张
持仓成本:23.92%
chineseumi
- 中国海 · 全栈基金经理
当前现金是不是算错了,22年12月的当前现金是-37.7w,23年1月现金净投入-19.4w,外加买卖收益14.7w,共收回34.1w,当前现金不应该是-3.6w ?应该没错,现金是买入、卖出和兑付才发生变化,实现收益是卖出或兑付减去成本决定的。同时算的话现金就变多了。现金只跟现金流量表有关,收益是利润表决定的,我最早的一些时候算的有些绕,可能有的时候算的有误,现在应该都调整正常了。
大概就是:
当前现金=初始现金投入+卖出+兑付-买入
当前净资产=当前现金+持仓成本+浮动盈亏
而确认收益只是个账目调整,是成本和浮动盈亏两者间的转移,不涉及现金的变化。
大家看看有没有问题
2023.1当前现金是不是算错了,22年12月的当前现金是-37.7w,23年1月现金净投入-19.4w,外加买卖收益14.7w,共收回34.1w,当前现金不应该是-3.6w ?
1月继续以少量卖出和偶尔轮动为主。看着3个月前净价20左右的债券,现在连YTM都不到20%了,垃圾债的高潮过后,就是漫长的尾声了。
成交汇总:
月末持仓统计:
本月现金及实现收益情况:
债券现金净投入:-19.4w
债券实现收益合计: 14.7 w
持仓统计:
初始本金投入:139w
当前持仓成本:378.5w
当前持仓债券浮动盈亏:+71.5w
当前现金:-18.4w
合计...
chineseumi
- 中国海 · 全栈基金经理
赞同来自: sostot 、孤独的长线客 、qinjp03 、朝阳南街 、等待等待牛市 、 、更多 »
1月继续以少量卖出和偶尔轮动为主。看着3个月前净价20左右的债券,现在连YTM都不到20%了,垃圾债的高潮过后,就是漫长的尾声了。
成交汇总:
月末持仓统计:
本月现金及实现收益情况:
债券现金净投入:-19.4w
债券实现收益合计: 14.7 w
持仓统计:
初始本金投入:139w
当前持仓成本:378.5w
当前持仓债券浮动盈亏:+71.5w
当前现金:-18.4w
合计权益:431.7w
年初净值:2.6669
累计净值:3.1055
年度净值:1.1645
仓位:104.26%
持仓合计:159540张
持仓成本:24.40%
易尔奇 - 安待久 渐息散
2022.12不容易,我两三只垃圾债,已疲于奔命。
12月以降杠杆为主,卖出了部分50以上的债券。
成交汇总:
月末持仓统计:
由于债券价格波动较大,且不同债券间流动性差别巨大,之前采用成本法估值,最近感觉已经不太合理。所以自2022年11跃起对估值方式进行了大幅调整,以期更接近于持仓债券的真实情况。具体参考如下:
1.对于主体所有债券均无法交易,且停牌半年以上,且半年内我未在场外有成交的,统一按10元全价估值。有我参与场外...
何况你这满仓垃圾……
话说,也羡慕你们机构户,可以高抛低吸。
chineseumi
- 中国海 · 全栈基金经理
赞同来自: 塔塔桔 、jlmscb 、心系湖湘 、flytok2 、好奇心135 、 、 、更多 »
12月以降杠杆为主,卖出了部分50以上的债券。
成交汇总:
月末持仓统计:
由于债券价格波动较大,且不同债券间流动性差别巨大,之前采用成本法估值,最近感觉已经不太合理。所以自2022年11跃起对估值方式进行了大幅调整,以期更接近于持仓债券的真实情况。具体参考如下:
1.对于主体所有债券均无法交易,且停牌半年以上,且半年内我未在场外有成交的,统一按10元全价估值。有我参与场外交易的,按最近一次场外成交价格估值。
2.对于主体所有债券停牌半年以内,暂按某只有代表性的债券停牌前最终成交价的当前全家估值。
3.对于主体部分债券停牌,部分债券仍能交易的。能交易的债券按其各自场内集合交易收盘价格估值。停牌债券按其同主体具有代表性的可交易债券集合交易收盘价格估值。
本月现金收支情况:
债券现金净投入:-50.7w
债券实现收益合计: 26.1 w
持仓统计:
初始本金投入:139w
当前持仓成本:383.1w
当前持仓债券浮动盈亏:+25.3w
当前现金:-37.7w
合计权益:370.7w
年初净值:1.7194
累计净值:2.6669
年度净值:1.5511
仓位:110.17%
持仓合计:154540张
持仓成本:25.50%
交易商协会受理龙湖集团200亿元储架式注册发行
2022/11/10 18:45
标签
资质审批,债券融资
地产追踪
快讯
推荐
据NAFMII资讯,11月10日,交易商协会受理龙湖集团200亿元储架式注册发行,中债增进公司同步受理企业增信业务意向。根据债务融资工具注册发行自律规则,能够向投资人规范进行信息披露的企业均可开展储架式注册发行。储架式注册发行是市场化、法治化、公开透明的发债管理模式,企业可在注册有效期内结合需求分次发行。龙湖集团可选聘多家机构组成主承销商团完成注册,后续每期发行时再结合实需确定当期发债规模、资金用途、主承销商。该模式可便利企业、投资人把握发行窗口、投资时机,提升市场投融资效率。目前,中债增进公司增信民营房企发债融资工作已纳入“第二支箭”统筹推进。在“第二支箭”支持政策框架下,对民营房企增信服务费率低于0.8%/年,仅为市场化增信服务费率的一半左右;同时,根据企业信用状况分档确定反担保比例。此外,为便利民营房企,中债增进公司已开通了材料受理电子邮箱,发布制式《项目需求意向表》。
除龙湖集团外,还有多家民营房企也在沟通对接发债注册意向,交易商协会、中债增进公司正在积极推进受理评议工作。下一步,交易商协会将在人民银行指导下,坚持“两个毫不动摇”,组织中债增进公司扎实推进“第二支箭”政策落实,不断加大对包括民营房企在内的民企发债融资支持力度,充分发挥稳定市场发展的积极作用。
赞同来自: 沙一鸥 、oie9 、XIAOHULI92 、qinjp03 、chineseumi更多 »
两三支箭感觉不够用啊,需要“万箭齐发”初步有以下几个看法,大家参谋下:
1、信号意义比较强,从自生自灭到救一部分,目前看没暴雷的大概就剩民营三分之一不到了,恒碧融就剩碧了,其他二线基本也就剩旭辉,新城几个国内还没爆的了,这些没爆的公司如果救救应该能挺过去,无非股东把前几年赚的大部分吐出来。
2、初步看也就是保剩下的几家了,其他本身财务有问题的,还是自生自灭。
3、实质解决债务问题长期看还得靠解决疫情影响,底层资产流动性的恢复,这个至少还得1年之后看。
结论:1、债券短期会上涨,但恢复正常价格估计还得比较久
2、初期可能普涨,但已经暴雷的债券还是得小心,可能政策雨露是浇不到他
3、债券投资还得做持久打算,中间波折难免,价格不可能一蹴而就恢复正常
chineseumi
- 中国海 · 全栈基金经理
“第二支箭”延期并扩容 支持民营企业债券融资再加力两三支箭感觉不够用啊,需要“万箭齐发”
为落实稳经济一揽子政策措施,坚持“两个毫不动摇”,支持民营企业健康发展,在人民银行的支持和指导下,交易商协会继续推进并扩大民营企业债券融资支持工具(“第二支箭”),支持包括房地产企业在内的民营企业发债融资。“第二支箭”由人民银行再贷款提供资金支持,委托专业机构按照市场化、法治化原则,通过担保增信、创设信用风险缓释凭证、直接购买债券等方式,支持...
赞同来自: chineseumi
为落实稳经济一揽子政策措施,坚持“两个毫不动摇”,支持民营企业健康发展,在人民银行的支持和指导下,交易商协会继续推进并扩大民营企业债券融资支持工具(“第二支箭”),支持包括房地产企业在内的民营企业发债融资。“第二支箭”由人民银行再贷款提供资金支持,委托专业机构按照市场化、法治化原则,通过担保增信、创设信用风险缓释凭证、直接购买债券等方式,支持民营企业发债融资。预计可支持约2500亿元民营企业债券融资,后续可视情况进一步扩容。
2018年,针对部分民营企业遇到的融资困难问题,经国务院批准,人民银行会同有关部门,从信贷、债券、股权三个融资渠道采取“三支箭”的政策组合,支持民营企业拓展融资。民营企业债券融资支持工具作为“第二支箭”,有力引导市场机构改善对民营企业的风险偏好和融资氛围,有效缓解了民营企业信用收缩问题,促进了民营企业融资恢复,降低了民营企业融资成本。
近期,交易商协会已经组织中债增进公司积极开展了部分民营房地产企业债券融资增信工作,取得了良好成效。后续,相关工作将纳入支持工具统筹推进。未来,随着民营企业发债融资支持范围和规模的扩大,支持工具作用将进一步充分发挥,有利于提振投资者信心,尤其有利于稳定和扩大民营企业的融资。
赞同来自: chineseumi
2022.10仔细看了大佬的这个帖,我提出几个疑问和看法,纯探讨哈
月末持仓统计:
由于债券价格波动较大,采用成本法估值,仅当单只债券完全清仓或成本减为0后产生的现金净流入计入盈利。为方便统计,利息部分从第二次付息起开始计入现金流。
10月继续买买买,慢慢买,用大概率1个月之内能垃圾债产生的现金流滚动着买。成交汇总:
本月本金收支情况:
债券本金净投入:47.1w
清仓债券实现收益合计: 0 w
兑付债券实现收益到账:43.9w
初始本金投...
1. 采用成本法计算,90%的债拖着不破产,10%的清算或兑付,你净值涨了,但实际上按现价清仓可能是亏的
2. 近期买入的,当期利息都要分好几期也不一定能付,这个也应该计入成本
3. 等额票息是怎么计算的?
chineseumi老师 价格买得足够低 即使恒大和阳光城 chineseumi老师也有赚 只是赚多赚少而已主要还得分散,部分暴雷也是预料之中的,按目前情况看恒大和阳光城至少收回时间会很久,单个债券不是100%赚钱的
chineseumi
- 中国海 · 全栈基金经理
月末持仓统计:
由于债券价格波动较大,采用成本法估值,仅当单只债券完全清仓或成本减为0后产生的现金净流入计入盈利。为方便统计,利息部分从第二次付息起开始计入现金流。
10月继续买买买,慢慢买,用大概率1个月之内能垃圾债产生的现金流滚动着买。成交汇总:
本月本金收支情况:
债券本金净投入:47.1w
清仓债券实现收益合计: 0 w
兑付债券实现收益到账:43.9w
初始本金投入:139w
当前持仓成本:340.2w
未实现盈利:0
当前现金:-35.3w
合计权益:304.9w
年初净值:1.7194
累计净值:2.1935
年度净值:1.2758
仓位:111.58%
持仓面值:1175.8w RMB + 200k USD
持仓成本:27.33%
等效票息:18.17%
chineseumi
- 中国海 · 全栈基金经理
福建阳光集团:USD200K 成本全价:USD 13.5 (17.3万)IB上直接挂单买的。去年哪知道是现在这景象,以为地产暴雷知识小范围的。这笔钱大概率归0了,美元债慎重,感觉美元债是国内债的劣后,即使重组也没有小额。
请问一下,这种美元债在哪里买的??
想赌的话挑1折以下甚至0.05折以下的买吧。万一成功1个能覆盖10~20个的成本。我是美元资产被中概股亏惨了,没有更多的资金~~~
tigerhu12399
- 称重机而非投票机
福建阳光集团:USD200K 成本全价:USD 13.5 (17.3万)离岸市场,IB上面就能买,但不是连续交易,是报价撮合交易(类似我们的银行间市场),有可能你今天报一个价,两天后才成交
请问一下,这种美元债在哪里买的??
Edge
Chrome
Firefox


























京公网安备 11010802031449号