littlepower - 挣扎在回本的路上
赞同来自: Qwe38rasdf 、xineric 、OpenAI
谢谢解答。那510300沪深300ETF基金应该是每年跑赢指数399300 1.5%左右?主动基金参照的业绩标准 是510300还是399300指数本身呢?是的,所以才有管理费和分红,还能保证etf价格*1000等于指数。参照指数。
e老实和尚
- 不要叫错名字
赞同来自: 甘泉 、孤独的长线客 、投资旗舰 、等待等待牛市 、jjkkk 、 、更多 »
和尚老师,06合约贴水57点,扣除分红后,实际折价20点左右,12合约贴水300点左右,是不是持有12合约更划算假如股价不涨不跌的话,由于派息指数不除权,会自然回落,哪个月折价更合算,要看扣除分红后的净折价。
另外06合约现在贴水57点,指数分红有影响,但期指是不是可以理解为到下月交割还是能吃到这57的折价
所以,到底应该持有06合约还是12合约,烦请老师解答以下,谢谢了
12月净折价189,7个月,月均27,6月目前基本平价,过几天正常后会折价20-30点,如果预计将来贴水会拉大就开近月,否则开远月。
另外06合约现在贴水57点,指数分红有影响,但期指是不是可以理解为到下月交割还是能吃到这57的折价
所以,到底应该持有06合约还是12合约,烦请老师解答以下,谢谢了
赞同来自: Sj050 、偷鸡二代 、elgma 、xuangu 、缓慢投资 、 、 、 、 、 、 、 、 、 、 、 、 、 、更多 »
请教楼主,这部分大约会在什么时候正式影响指数?即一般的实际分红除息是在什么时候?rain老师这个题我会做
我印象中似乎大部分公司的股息分配在6-9月之间,最晚10月,这是是否可以大致理解为IC2206和IC2209之间的价差应该大概有至少80-90个点的基差差异可以由股息分派来解释?
望回复,感谢!
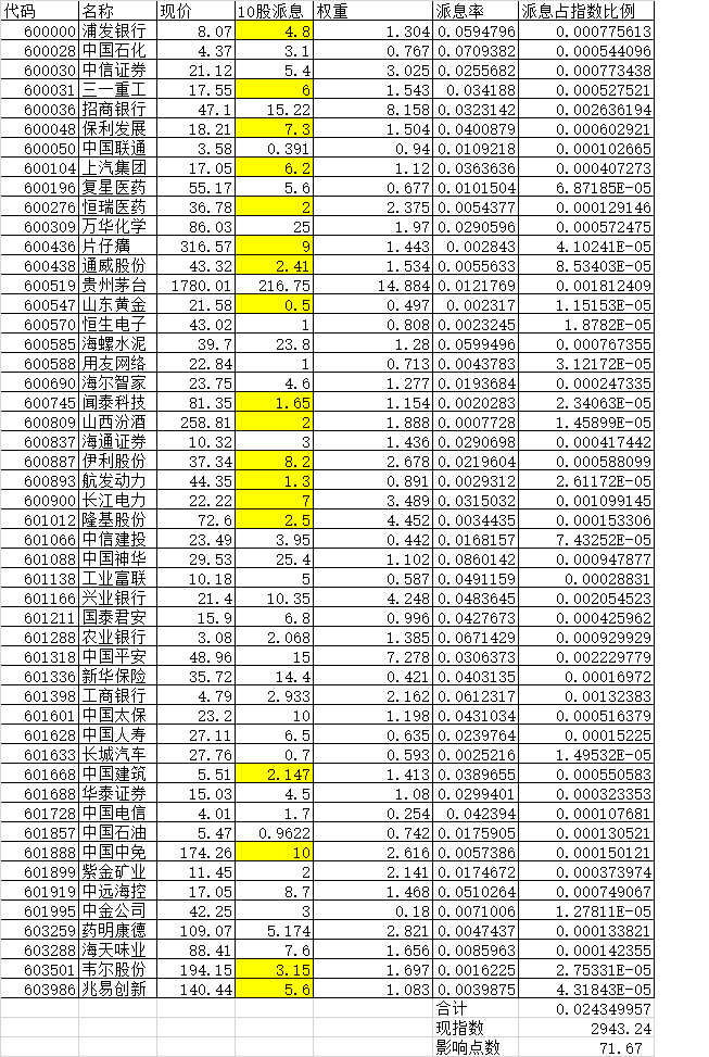
个股分红除息日就会影响指数。实际分红除息日根据公司公告,公司会首先发布分红预案,到最后董事会通过,确定登记日和除息日,一般有一两个月时间,这个时间并不确定,但是通常公司都会在差不多的时间进行
根据我的手动粗略测算,ic2206到ic2205的息差是34点,ic2209到ic2205的息差是92点。
ic2212现在还不知道,因为有些公司会在这段时间分红,但是尚未公告,不过市场已经给出了一些。
所以总体来看,ic的贴水,并没有想象那么多
我的测算流程:
1、从中证抓下来500权重
2、从东财抓下来2021年报期分红数据
3、根据分红数据和除息日,计算对指数点位的影响,尚未公布分红的忽略,已公布分红尚未确定除息日的,以2020年两日期差为参考,没有参考的,拍脑袋给一个值
4、根据ic交割日确定对每个ic的影响
Edge
Chrome
Firefox





























京公网安备 11010802031449号