同花顺,国内应用软件龙头,作为国内领先的互联网金融信息服务提供商,公司在业内拥有完整的产业链,产品及服务覆盖产业链上下游。
近期美国关税战如火如荼,国内管理层也针锋相对寸步不让,公司股价也自高位回落近30%,引发关注,那么问题来了,现在公司的估值有泡沫吗?还有投资价值吗?
公司基本面优秀,五年平均ROE28.5%比肩茅台,而且五年平均自由现金流17.3亿赚的也是真金白银,不过目前92.6%的PB历史百分位估值太高。
做下回测,选取宽基指数、行业指数、行业内全球对标公司作为一个投资组合进行回溯。
历史表现优秀,十五年涨了35倍,遥遥领先。(注:看Total Return那一栏)
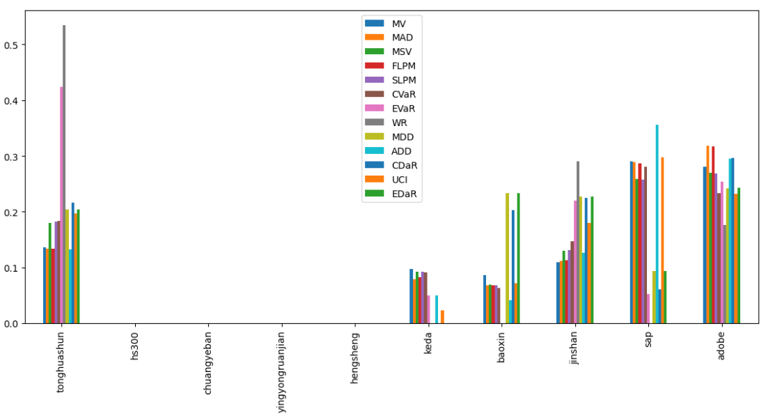
相关性表现一般,基本跟整个行业大周期走的。(注:相关系数数值越低越好)
按最高夏普比率配置的话,系统给的权重为13.6%,最高权重给了美股的思爱普占比29.0%。(注:占比越高越好)
有效边界也差不多,公司始终占有一席之地。(注:占比越高越好)
如果换成其他约束,系统给的配置比例也大同小异,基本是在公司和美股的奥多比之间做取舍了。(注:占比越高越好)
最后看下整个投资组合的情况,日度均值回报在0.11%,比上次测的光伏设备行业低30%,不过相应地9.07%的CVaR波动也会小一些。(注:均值回报看Mean那一栏,越高越好;CVaR波动看CVaR那一栏,越低越好)
区间累计回报近40倍,最大回撤49.68%,投资组合的整体表现要好于同花顺个股。整个应用软件行业盈利能力惊艳世人,波动偏大,夏普比率1.11很有竞争力。(注:累计回报看Cumulative Returns那一栏,越高越好;最大回撤看Maximum Drawdown那一栏,越低越好)
明月何处看德芬的结论:
同花顺,基本面堪称卓越,历史表现一骑绝尘,就是目前估值太高,可以等回调。整个应用软件行业历史表现不俗,但波动偏大,综合夏普比率很诱人,建议重点关注,全球市场看奥多比,大中华市场看同花顺。(注:夏普比率越高越好)
近期美国关税战如火如荼,国内管理层也针锋相对寸步不让,公司股价也自高位回落近30%,引发关注,那么问题来了,现在公司的估值有泡沫吗?还有投资价值吗?
公司基本面优秀,五年平均ROE28.5%比肩茅台,而且五年平均自由现金流17.3亿赚的也是真金白银,不过目前92.6%的PB历史百分位估值太高。
做下回测,选取宽基指数、行业指数、行业内全球对标公司作为一个投资组合进行回溯。
历史表现优秀,十五年涨了35倍,遥遥领先。(注:看Total Return那一栏)
相关性表现一般,基本跟整个行业大周期走的。(注:相关系数数值越低越好)
按最高夏普比率配置的话,系统给的权重为13.6%,最高权重给了美股的思爱普占比29.0%。(注:占比越高越好)
有效边界也差不多,公司始终占有一席之地。(注:占比越高越好)
如果换成其他约束,系统给的配置比例也大同小异,基本是在公司和美股的奥多比之间做取舍了。(注:占比越高越好)
最后看下整个投资组合的情况,日度均值回报在0.11%,比上次测的光伏设备行业低30%,不过相应地9.07%的CVaR波动也会小一些。(注:均值回报看Mean那一栏,越高越好;CVaR波动看CVaR那一栏,越低越好)
区间累计回报近40倍,最大回撤49.68%,投资组合的整体表现要好于同花顺个股。整个应用软件行业盈利能力惊艳世人,波动偏大,夏普比率1.11很有竞争力。(注:累计回报看Cumulative Returns那一栏,越高越好;最大回撤看Maximum Drawdown那一栏,越低越好)
明月何处看德芬的结论:
同花顺,基本面堪称卓越,历史表现一骑绝尘,就是目前估值太高,可以等回调。整个应用软件行业历史表现不俗,但波动偏大,综合夏普比率很诱人,建议重点关注,全球市场看奥多比,大中华市场看同花顺。(注:夏普比率越高越好)
Edge
Chrome
Firefox



















京公网安备 11010802031449号