保利发展,国内地产开发龙头,公司是一家专注于房地产开发及销售的大型企业集团,拥有国家一级房地产开发资质。
近期美国关税战如火如荼,国内管理层也针锋相对寸步不让,公司股价也一直在底部震荡,蠢蠢欲动,那么问题来了,现在公司的估值有泡沫吗?还有投资价值吗?
公司基本面还行,五年平均ROE13.6%可圈可点,五年平均自由现金流53.8亿也是真赚钱,目前3.7%的PB历史百分位估值低位。
做下回测,选取宽基指数、行业指数、行业内全球对标公司作为一个投资组合进行回溯。
历史表现一般,十五年涨了2倍,行业中上游水准。(注:看Total Return那一栏)
相关性表现一般,基本跟整个行业大周期走的。(注:相关系数数值越低越好)
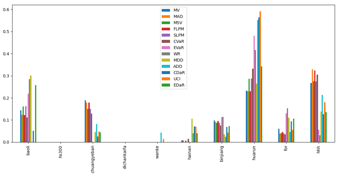
按最高夏普比率配置的话,系统给的权重为14.4%,最高权重给了美股的HOWARD HUGHES占比26.8%。(注:占比越高越好)
有效边界也差不多,公司终究还是配角。(注:占比越高越好)
如果换成其他约束,系统给的配置比例也大同小异,基本是在华润置地和美股的HOWARD HUGHES之间做取舍了。(注:占比越高越好)
最后看下整个投资组合的情况,日度均值回报在0.05%,比上次测的技术经销行业低40%,而且8.68%的CVaR波动也并不小。(注:均值回报看Mean那一栏,越高越好;CVaR波动看CVaR那一栏,越低越好)
区间累计回报近5倍,最大回撤37.93%,投资组合的整体表现要好于保利发展个股。整个地产开发行业盈利能力差,波动还大,夏普比率0.52惨不忍睹。(注:累计回报看Cumulative Returns那一栏,越高越好;最大回撤看Maximum Drawdown那一栏,越低越好)
明月何处看德芬的结论:
保利发展,基本面稳健,历史表现一般,目前估值低位,可以配置。整个地产开发行业历史表现平庸,波动不小,综合夏普比率毫无吸引力,不建议关注,如果一定要配置的话,全球市场看HOWARD HUGHES,大中华市场看华润置地。(注:夏普比率越高越好)
近期美国关税战如火如荼,国内管理层也针锋相对寸步不让,公司股价也一直在底部震荡,蠢蠢欲动,那么问题来了,现在公司的估值有泡沫吗?还有投资价值吗?
公司基本面还行,五年平均ROE13.6%可圈可点,五年平均自由现金流53.8亿也是真赚钱,目前3.7%的PB历史百分位估值低位。
做下回测,选取宽基指数、行业指数、行业内全球对标公司作为一个投资组合进行回溯。
历史表现一般,十五年涨了2倍,行业中上游水准。(注:看Total Return那一栏)
相关性表现一般,基本跟整个行业大周期走的。(注:相关系数数值越低越好)
按最高夏普比率配置的话,系统给的权重为14.4%,最高权重给了美股的HOWARD HUGHES占比26.8%。(注:占比越高越好)
有效边界也差不多,公司终究还是配角。(注:占比越高越好)
如果换成其他约束,系统给的配置比例也大同小异,基本是在华润置地和美股的HOWARD HUGHES之间做取舍了。(注:占比越高越好)
最后看下整个投资组合的情况,日度均值回报在0.05%,比上次测的技术经销行业低40%,而且8.68%的CVaR波动也并不小。(注:均值回报看Mean那一栏,越高越好;CVaR波动看CVaR那一栏,越低越好)
区间累计回报近5倍,最大回撤37.93%,投资组合的整体表现要好于保利发展个股。整个地产开发行业盈利能力差,波动还大,夏普比率0.52惨不忍睹。(注:累计回报看Cumulative Returns那一栏,越高越好;最大回撤看Maximum Drawdown那一栏,越低越好)
明月何处看德芬的结论:
保利发展,基本面稳健,历史表现一般,目前估值低位,可以配置。整个地产开发行业历史表现平庸,波动不小,综合夏普比率毫无吸引力,不建议关注,如果一定要配置的话,全球市场看HOWARD HUGHES,大中华市场看华润置地。(注:夏普比率越高越好)
Edge
Chrome
Firefox



















京公网安备 11010802031449号