宁沪高速,国内交通基础设施龙头,公司主要从事投资、建设、经营和管理沪宁高速公路江苏段及其他江苏省境内的收费路桥,并发展公路沿线的客运及其它辅助服务业。



近期海内外情绪回暖,国内管理层也频繁释出利好政策和意向,公司股价也自底部翻倍,走势稳健,那么问题来了,现在公司的估值有泡沫吗?还有投资价值吗?

公司基本面优秀,五年平均ROE12.7%还不错,五年平均自由现金流3.3亿赚的也是真金白银,目前60.2%的PB历史百分位估值中等。



做下回测,选取宽基指数、行业指数、行业内全球对标公司作为一个投资组合进行回溯。



历史表现一般,十五年涨了4倍,行业中游水准。(注:看Total Return那一栏)





相关性表现一般,基本跟整个行业大周期走的。(注:相关系数数值越低越好)





按最高夏普比率配置的话,系统给的权重为37.6%,第二权重给了美股的太平洋航空占比23.2%。(注:占比越高越好)







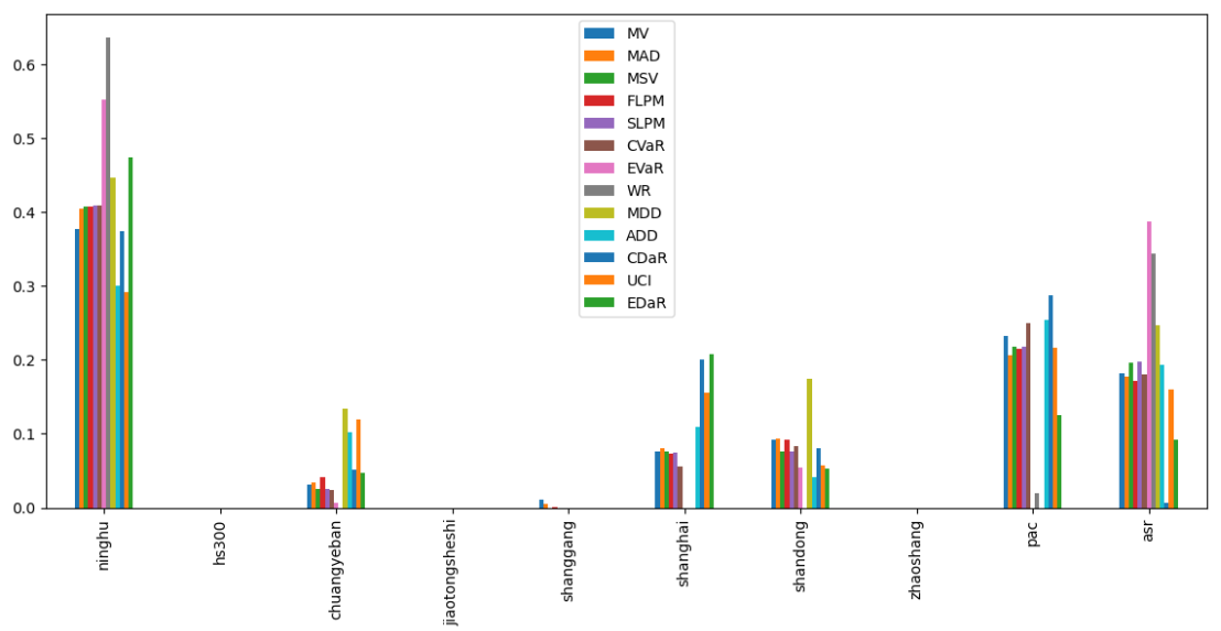
有效边界也差不多,公司妥妥的主角了。(注:占比越高越好)







如果换成其他约束,系统给的配置比例也大同小异,基本是在公司和美股的太平洋航空之间做取舍了。(注:占比越高越好)





最后看下整个投资组合的情况,日度均值回报在0.06%,比上次测的工业机械行业低30%,不过6.61%的CVaR波动也会小一些。(注:均值回报看Mean那一栏,越高越好;CVaR波动看CVaR那一栏,越低越好)





区间累计回报近7倍,最大回撤36.06%,投资组合的整体表现要好于宁沪高速个股。整个交通设施行业盈利能力一般,波动中低,夏普比率0.89略显平庸。(注:累计回报看Cumulative Returns那一栏,越高越好;最大回撤看Maximum Drawdown那一栏,越低越好)





明月何处看德芬的结论:
宁沪高速,基本面扎实,历史表现中规中矩,目前估值也正常,值得关注。整个交通设施行业历史表现差强人意,波动尚可,综合夏普比率颇为鸡肋,只能当配置,全球市场看太平洋航空,大中华市场看宁沪高速。(注:夏普比率越高越好)

发表时间 2025-04-01 08:19     来自广东

赞同来自:

0

butters123

赞同来自:

@tianji2008
好像也搞了其他业务,好像是风电,最怕乱投资,还是粤高速好点
长三角理论上是优于珠三角的,细枝末节不谈了
2025-04-02 08:13 来自广东 引用
1

butters123

赞同来自: mengyao

@mengyao
太平洋航空?
美国的机场运营公司
2025-04-02 08:12 来自广东 引用
0

butters123

赞同来自:

@zhgq
好是好的。但是很大一部分资产已经或者快要到期了,无賞交给国家。
哦哦好吧,深圳这边的做法,就是重新修一遍,然后又可以重新开始收费周期了
2025-04-02 08:12 来自广东 引用
1

tianji2008

赞同来自: butters123

好像也搞了其他业务,好像是风电,最怕乱投资,还是粤高速好点
2025-04-01 09:16 来自广东 引用
1

mengyao - 持有etf不动 、转债摊大饼

赞同来自: butters123

太平洋航空?
2025-04-01 09:08 来自上海 引用
1

zhgq

赞同来自: butters123

好是好的。但是很大一部分资产已经或者快要到期了,无賞交给国家。
2025-04-01 09:02 来自上海 引用

要回复问题请先登录注册

发起人

问题状态

  • 最新活动: 2025-04-02 08:13
  • 浏览: 3271
  • 关注: 6