恒瑞医药,国内创新药龙头,公司是一家从事医药创新和高品质药品研发、生产及推广的医药健康企业,致力于在抗肿瘤药、手术用药、内分泌治疗药、心血管药及抗感染药等领域的创新发展,并逐步形成品牌优势。
近期海内外情绪回暖,国内管理层也频繁释出利好政策和意向,公司股价也自底部翻倍,走势稳健,那么问题来了,现在公司的估值有泡沫吗?还有投资价值吗?
公司基本面优秀,五年平均ROE16.5%相当不错,五年平均自由现金流27.9亿赚的也是真金白银,目前34.0%的PB历史百分位估值不高。
做下回测,选取宽基指数、行业指数、行业内全球对标公司作为一个投资组合进行回溯。
历史表现不俗,十五年涨了9倍,行业上游水准。(注:看Total Return那一栏)
相关性表现一般,基本跟整个行业大周期走的。(注:相关系数数值越低越好)
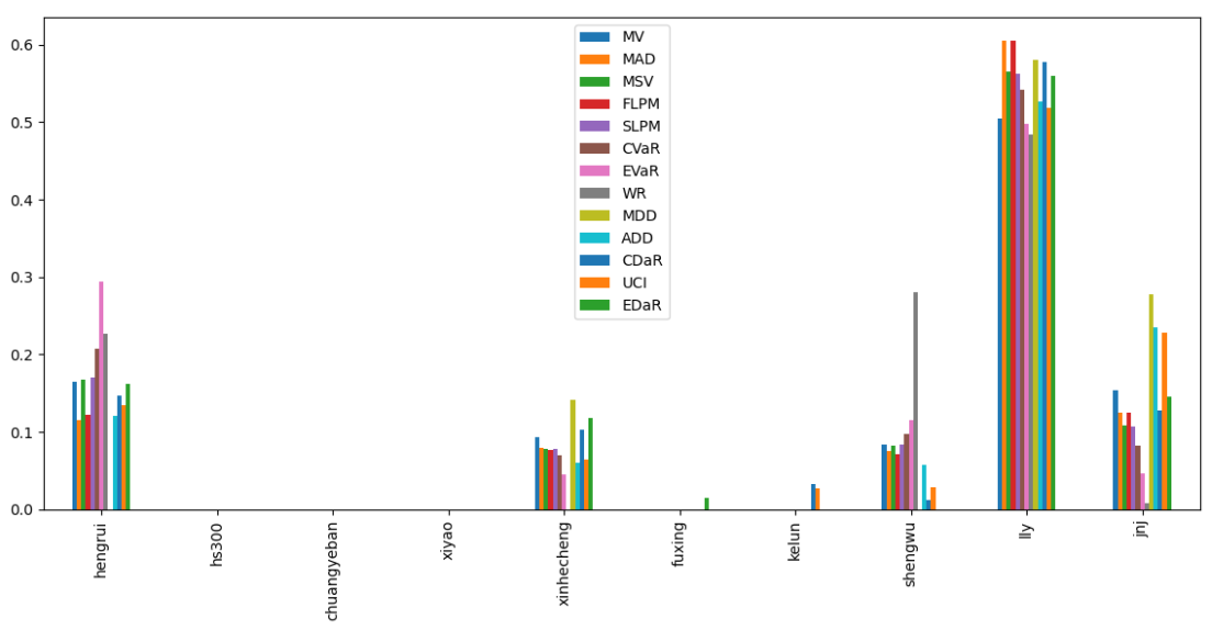
按最高夏普比率配置的话,系统给的权重为16.5%,最大权重给了美股的礼来占比50.4%。(注:占比越高越好)
有效边界也差不多,公司终究占有一席之地。(注:占比越高越好)
如果换成其他约束,系统给的配置比例也大同小异,基本是在公司和美股的礼来之间做取舍了。(注:占比越高越好)
最后看下整个投资组合的情况,日度均值回报在0.09%,比上次测的商品化工行业高30%,而且6.24%的CVaR波动还更低。(注:均值回报看Mean那一栏,越高越好;CVaR波动看CVaR那一栏,越低越好)
区间累计回报近25倍,最大回撤17.98%,投资组合的整体表现远好于恒瑞医药个股。整个西药行业盈利能力优异,波动还低,夏普比率1.33惊艳世人。(注:累计回报看Cumulative Returns那一栏,越高越好;最大回撤看Maximum Drawdown那一栏,越低越好)
明月何处看德芬的结论:
恒瑞医药,基本面扎实,历史表现也很亮眼,目前估值不高,建议关注。整个西药行业历史表现卓越,波动也小,综合夏普比率极其诱人,建议重点关注,全球市场看礼来,大中华市场看恒瑞医药。(注:夏普比率越高越好)
近期海内外情绪回暖,国内管理层也频繁释出利好政策和意向,公司股价也自底部翻倍,走势稳健,那么问题来了,现在公司的估值有泡沫吗?还有投资价值吗?
公司基本面优秀,五年平均ROE16.5%相当不错,五年平均自由现金流27.9亿赚的也是真金白银,目前34.0%的PB历史百分位估值不高。
做下回测,选取宽基指数、行业指数、行业内全球对标公司作为一个投资组合进行回溯。
历史表现不俗,十五年涨了9倍,行业上游水准。(注:看Total Return那一栏)
相关性表现一般,基本跟整个行业大周期走的。(注:相关系数数值越低越好)
按最高夏普比率配置的话,系统给的权重为16.5%,最大权重给了美股的礼来占比50.4%。(注:占比越高越好)
有效边界也差不多,公司终究占有一席之地。(注:占比越高越好)
如果换成其他约束,系统给的配置比例也大同小异,基本是在公司和美股的礼来之间做取舍了。(注:占比越高越好)
最后看下整个投资组合的情况,日度均值回报在0.09%,比上次测的商品化工行业高30%,而且6.24%的CVaR波动还更低。(注:均值回报看Mean那一栏,越高越好;CVaR波动看CVaR那一栏,越低越好)
区间累计回报近25倍,最大回撤17.98%,投资组合的整体表现远好于恒瑞医药个股。整个西药行业盈利能力优异,波动还低,夏普比率1.33惊艳世人。(注:累计回报看Cumulative Returns那一栏,越高越好;最大回撤看Maximum Drawdown那一栏,越低越好)
明月何处看德芬的结论:
恒瑞医药,基本面扎实,历史表现也很亮眼,目前估值不高,建议关注。整个西药行业历史表现卓越,波动也小,综合夏普比率极其诱人,建议重点关注,全球市场看礼来,大中华市场看恒瑞医药。(注:夏普比率越高越好)
Edge
Chrome
Firefox



















京公网安备 11010802031449号