科泰电源,国内备用电源龙头,公司产品涉及备用电源及混合能源、输配电产品、专用车业务三大模块,其中备用电源业务主要涉及智能环保电源设备的开发、设计、生产、销售,并为客户提供技术咨询、培训、安装、维修等售前、售后服务;输配电公司主要从事中压开关柜及低压开关柜设备的设计、制造和销售业务;专用车公司以原有的车载电源业务为基础,向其他专用车领域进行拓展。
近期海内外情绪回暖,国内管理层也频繁释出利好政策和意向,公司股价也自底部涨了近5倍,惊艳世人,那么问题来了,现在公司的估值有泡沫吗?还有投资价值吗?
公司基本面差,五年平均ROE-2.3%令人失望,五年平均自由现金流0.7亿差强人意,目前99.2%的PB历史百分位估值极高。
做下回测,选取宽基指数、行业指数、行业内全球对标公司作为一个投资组合进行回溯。
历史表现一般,十五年涨了5倍,行业中游水准。(注:看Total Return那一栏)
相关性表现还行,基本走自己的独立逻辑。(注:相关系数数值越低越好)
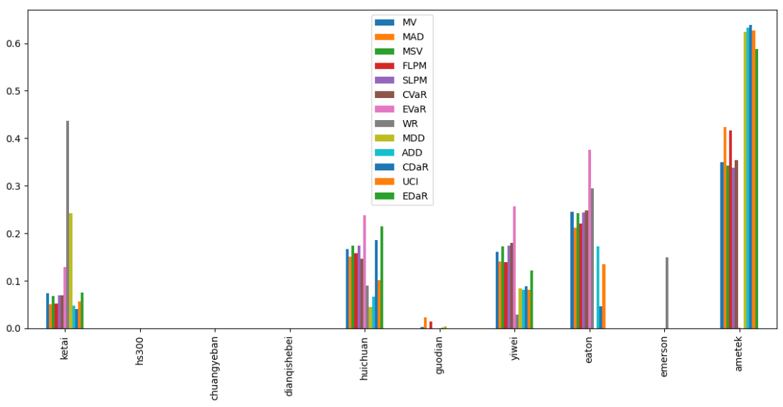
按最高夏普比率配置的话,系统给的权重为7.4%,最大权重给了美股的阿美特克占比35.0%。(注:占比越高越好)
有效边界也差不多,公司基本打酱油的状态。(注:占比越高越好)
如果换成其他约束,系统给的配置比例也大同小异,基本是在汇川技术和美股的阿美特克之间做取舍了。(注:占比越高越好)
最后看下整个投资组合的情况,日度均值回报在0.09%,比上次测的钢铁行业高50%,7.59%的CVaR波动反而还更小。(注:均值回报看Mean那一栏,越高越好;CVaR波动看CVaR那一栏,越低越好)
区间累计回报近18倍,最大回撤38.1%,投资组合的整体表现远好于科泰电源个股。整个电气设备行业盈利能力优秀,波动中等,夏普比率1.05颇具竞争力。(注:累计回报看Cumulative Returns那一栏,越高越好;最大回撤看Maximum Drawdown那一栏,越低越好)
明月何处看德芬的结论:
科泰电源,基本面没啥亮点,历史表现中规中矩,目前估值太高,建议回避。整个电气设备行业历史表现不俗,波动尚可,综合夏普比率很诱人,建议重点关注,全球市场看阿美特克,大中华市场看汇川技术。(注:夏普比率越高越好)
近期海内外情绪回暖,国内管理层也频繁释出利好政策和意向,公司股价也自底部涨了近5倍,惊艳世人,那么问题来了,现在公司的估值有泡沫吗?还有投资价值吗?
公司基本面差,五年平均ROE-2.3%令人失望,五年平均自由现金流0.7亿差强人意,目前99.2%的PB历史百分位估值极高。
做下回测,选取宽基指数、行业指数、行业内全球对标公司作为一个投资组合进行回溯。
历史表现一般,十五年涨了5倍,行业中游水准。(注:看Total Return那一栏)
相关性表现还行,基本走自己的独立逻辑。(注:相关系数数值越低越好)
按最高夏普比率配置的话,系统给的权重为7.4%,最大权重给了美股的阿美特克占比35.0%。(注:占比越高越好)
有效边界也差不多,公司基本打酱油的状态。(注:占比越高越好)
如果换成其他约束,系统给的配置比例也大同小异,基本是在汇川技术和美股的阿美特克之间做取舍了。(注:占比越高越好)
最后看下整个投资组合的情况,日度均值回报在0.09%,比上次测的钢铁行业高50%,7.59%的CVaR波动反而还更小。(注:均值回报看Mean那一栏,越高越好;CVaR波动看CVaR那一栏,越低越好)
区间累计回报近18倍,最大回撤38.1%,投资组合的整体表现远好于科泰电源个股。整个电气设备行业盈利能力优秀,波动中等,夏普比率1.05颇具竞争力。(注:累计回报看Cumulative Returns那一栏,越高越好;最大回撤看Maximum Drawdown那一栏,越低越好)
明月何处看德芬的结论:
科泰电源,基本面没啥亮点,历史表现中规中矩,目前估值太高,建议回避。整个电气设备行业历史表现不俗,波动尚可,综合夏普比率很诱人,建议重点关注,全球市场看阿美特克,大中华市场看汇川技术。(注:夏普比率越高越好)
Edge
Chrome
Firefox



















京公网安备 11010802031449号