胜宏科技,公司拥有一流的PCB生产设备及专业团队,专业从事高密度印制线路板的研发、生产和销售,主要产品为双面板、多层板(含HDI)等,产品广泛用于LED显示器、SERVER(服务器)、通讯、医疗器械、新能源汽车、电脑周边等领域。
近期海内外情绪回暖,国内管理层也频繁释出利好政策和意向,公司股价也自底部涨了近4倍,一览众山小,那么问题来了,现在公司的估值有泡沫吗?还有投资价值吗?
公司基本面还行,五年平均ROE13.3%在pcb行业算不错了,五年平均自由现金流-1.2亿近期改善明显,不过目前83.0%的PB历史百分位估值偏高。
做下回测,选取宽基指数、行业指数、行业内全球对标公司作为一个投资组合进行回溯。
历史表现惊艳,十年涨了12倍,遥遥领先。
相关性表现还行,基本走自己的独立逻辑。
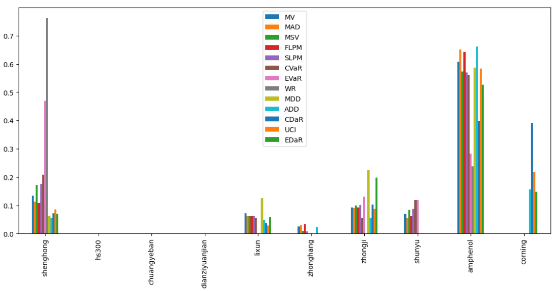
按最高夏普比率配置的话,系统给的权重为13.3%,最大权重给了美股的安费诺占比60.8%。
有效边界也差不多,公司终究还是配角。
如果换成其他约束,系统给的配置比例也大同小异,基本是在公司和美股的安费诺之间做取舍了。
最后看下整个投资组合的情况,日度均值回报在0.11%,比上次测的地产开发行业高120%,但其实8.1%的CVaR波动也没有大多少。
区间累计回报近10倍,最大回撤34.05%,投资组合的整体表现比之胜宏科技更稳健。整个电子元件行业盈利能力优秀,波动中等,夏普比率1.19属上乘水准。
明月何处看德芬的结论:
胜宏科技,基本面可圈可点,历史表现一骑绝尘,但目前估值偏高,建议等回调再介入。整个电子元件行业历史表现不俗,波动尚可接受,夏普比率很有吸引力,建议重点关注,美股看安费诺,A股看胜宏科技。
近期海内外情绪回暖,国内管理层也频繁释出利好政策和意向,公司股价也自底部涨了近4倍,一览众山小,那么问题来了,现在公司的估值有泡沫吗?还有投资价值吗?
公司基本面还行,五年平均ROE13.3%在pcb行业算不错了,五年平均自由现金流-1.2亿近期改善明显,不过目前83.0%的PB历史百分位估值偏高。
做下回测,选取宽基指数、行业指数、行业内全球对标公司作为一个投资组合进行回溯。
历史表现惊艳,十年涨了12倍,遥遥领先。
相关性表现还行,基本走自己的独立逻辑。
按最高夏普比率配置的话,系统给的权重为13.3%,最大权重给了美股的安费诺占比60.8%。
有效边界也差不多,公司终究还是配角。
如果换成其他约束,系统给的配置比例也大同小异,基本是在公司和美股的安费诺之间做取舍了。
最后看下整个投资组合的情况,日度均值回报在0.11%,比上次测的地产开发行业高120%,但其实8.1%的CVaR波动也没有大多少。
区间累计回报近10倍,最大回撤34.05%,投资组合的整体表现比之胜宏科技更稳健。整个电子元件行业盈利能力优秀,波动中等,夏普比率1.19属上乘水准。
明月何处看德芬的结论:
胜宏科技,基本面可圈可点,历史表现一骑绝尘,但目前估值偏高,建议等回调再介入。整个电子元件行业历史表现不俗,波动尚可接受,夏普比率很有吸引力,建议重点关注,美股看安费诺,A股看胜宏科技。
Edge
Chrome
Firefox



















京公网安备 11010802031449号