中际旭创,国内光模块龙头,公司主要致力于高端光通信收发模块的研发、设计、封装、测试和销售,产品服务于云计算数据中心、数据通信、5G无线网络、电信传输和固网接入等领域的国内外客户,在行业内保持了出货量和市场份额的领先优势。
近期海内外情绪回暖,国内管理层也频繁释出利好政策和意向,公司股价也自底部反弹近10倍,震铄古今,那么问题来了,现在公司的估值有泡沫吗?还有投资价值吗?
公司基本面一般,五年平均ROE11.4%表现中规中矩,目前83.9%的PB历史百分位估值不低。
做下回测,选取宽基指数、行业指数、行业内全球对标公司作为一个投资组合进行回溯。
历史表现很好,近十二年涨了近39倍,领跑行业。
相关性表现还行,基本走自己的独立逻辑。
按最高夏普比率配置的话,系统给的权重为14.6%,最大权重给了美股的安费诺占比55.8%。
有效边界也差不多,公司是能进top3的。
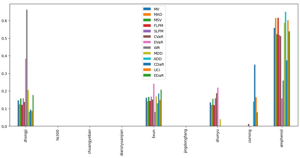
如果换成其他约束,系统给的配置比例也大同小异,基本是在安费诺和立讯精密之间做取舍了。
最后看下整个投资组合的情况,日度均值回报在0.12%,比上次测的集成电路行业高了10%,而且7.53%的CVaR波动也更低。
区间累计回报近26倍,最大回撤34.3%,投资组合的整体回报是不及中际旭创个股的,但波动更稳健。整个电子元件行业盈利能力卓越,波动小,夏普比率1.36很好很强大。
明月何处看德芬的结论:
中际旭创,基本面可圈可点,历史表现惊世骇俗,但是目前估值偏高,可以等回调。整个电子元件行业历史表现很惊艳,波动也足够低,夏普比率卓尔不群,值得重点关注,美股看安费诺,A股可以看立讯精密。
近期海内外情绪回暖,国内管理层也频繁释出利好政策和意向,公司股价也自底部反弹近10倍,震铄古今,那么问题来了,现在公司的估值有泡沫吗?还有投资价值吗?
公司基本面一般,五年平均ROE11.4%表现中规中矩,目前83.9%的PB历史百分位估值不低。
做下回测,选取宽基指数、行业指数、行业内全球对标公司作为一个投资组合进行回溯。
历史表现很好,近十二年涨了近39倍,领跑行业。
相关性表现还行,基本走自己的独立逻辑。
按最高夏普比率配置的话,系统给的权重为14.6%,最大权重给了美股的安费诺占比55.8%。
有效边界也差不多,公司是能进top3的。
如果换成其他约束,系统给的配置比例也大同小异,基本是在安费诺和立讯精密之间做取舍了。
最后看下整个投资组合的情况,日度均值回报在0.12%,比上次测的集成电路行业高了10%,而且7.53%的CVaR波动也更低。
区间累计回报近26倍,最大回撤34.3%,投资组合的整体回报是不及中际旭创个股的,但波动更稳健。整个电子元件行业盈利能力卓越,波动小,夏普比率1.36很好很强大。
明月何处看德芬的结论:
中际旭创,基本面可圈可点,历史表现惊世骇俗,但是目前估值偏高,可以等回调。整个电子元件行业历史表现很惊艳,波动也足够低,夏普比率卓尔不群,值得重点关注,美股看安费诺,A股可以看立讯精密。
Edge
Chrome
Firefox



















京公网安备 11010802031449号