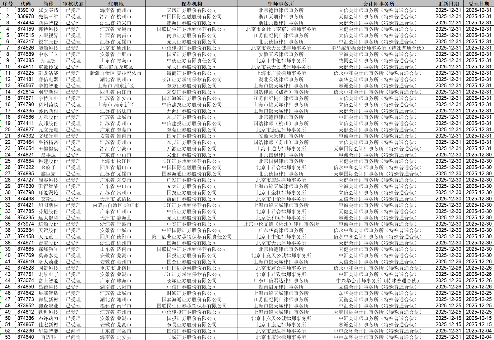
2023年9-11月,沪深北IPO受理39家,其中沪4家,深7家,北28家。
数据来源
http://www.csrc.gov.cn/csrc/c100028/c7428481/content.shtml
http://listing.sse.com.cn/renewal/
http://listing.szse.cn/projectdynamic/ipo/index.html
https://www.bse.cn/audit/project_news.html
市小农 - 打新搬运
为落实《中国证监会关于高质量建设北京证券交易所的意见》相关部署,提升上市公司辨识度,方便投资者搜索、交易上市股票,经过前期周密准备,北京证券交易所(以下简称北交所)定于2024年4月22日上线启用920代码号段功能。
自2023年11月正式启动920代码号段相关工作以来,证券公司、信息商、登记结算机构等各方紧密配合,各项准备工作进展顺利。在推进技术准备的同时,北交所、全国股转公司修订、制定了《北京证券交易所 全国中小企业股份转让系统证券代码、证券简称编制指引》《北京证券交易所向不特定合格投资者公开发行股票并上市业务办理指南第2号——发行与上市》《北京证券交易所向不特定合格投资者公开发行股票并上市业务办理指南第4号——证券代码管理》3件业务规则,上述规则自2024年4月22日起施行。未来新增上市公司通过摇号选号或直接选号方式确定证券代码后,使用该证券代码一体完成询价、申购并在北交所上市交易。市场各方可通过北交所官网“发行上市”栏目查询新上市公司使用920证券代码的发行、上市进度。
考虑到与存量上市公司切换920代码号段的工作衔接,北交所将在本次为新上市公司启用920代码号段功能上线时,按照后三位不变方式为存量上市公司预留证券代码,后三位重复的,对后上市公司按照上市时间先后顺序逐家对第四位代码做递进处理,直至与已预留的证券代码不重复。2024年4月22日后新上市的公司将在剔除预留号码的代码区间内确定股票代码。
下一步,北交所将在中国证监会的统一领导下,抓紧推进存量上市公司代码切换有关业务技术准备,尽快完成存量上市公司代码切换。
关于发布《北京证券交易所 全国中小企业股份转让系统证券代码、证券简称编制指引》的公告
关于发布《北京证券交易所向不特定合格投资者公开发行股票并上市业务办理指南第2号——发行与上市》的公告
关于发布《北京证券交易所向不特定合格投资者公开发行股票并上市业务办理指南第4号——证券代码管理》的公告
https://www.bse.cn/important_news/200021629.html
市小农 - 打新搬运
北证办发〔2024〕70号
各市场参与者:
我所司拟于近期开展北交所股票启用新证券代码号段通关测试,现将相关事项通知如下:
一、参测机构
北交所、全国股转公司、中国结算、深证通、中证指数、证券公司、基金公司、信息商等。
二、测试时间
2024年4月20日
三、注意事项
测试场景和要求等见测试方案(附件1),请各参测机构按要求参加测试,及时提交测试反馈报告(附件2)。
测试期间产生的交易、行情数据均为模拟数据,不能作为生产环境任何交易、非交易业务依据。
特此通知。
附件:1.北交所股票启用新证券代码号段通关测试方案
2.北交所股票启用新证券代码号段通关测试反馈报告
3.北交所股票启用新证券代码号段通关测试技术系统恢复情况报告
北京证券交易所办公室
2024年4月18日
https://www.bse.cn/important_news/200021613.html
市小农 - 打新搬运
北证办发〔2024〕57号
各市场参与者:
我所司拟于近期开展北交所股票启用新证券代码号段第三次全网测试,现将相关事项通知如下:
一、参测机构
北交所、全国股转公司、中国结算、深证通、证券公司、基金公司、信息商等。
二、测试时间
2024年4月13日
三、注意事项
测试场景和要求等见测试方案(附件1),请各参测机构按要求参加测试,及时提交测试反馈报告(附件2)。
测试期间产生的交易、行情数据均为模拟数据,不能作为生产环境任何交易、非交易业务依据。
特此通知。
附件:1.北交所股票启用新证券代码号段第三次全网测试方案
2.北交所股票启用新证券代码号段第三次全网测试反馈报告
北京证券交易所办公室 全国股转公司办公室
2024年4月11日
https://www.bse.cn/important_news/200021369.html
市小农 - 打新搬运
北证办发〔2024〕56号
各市场参与者:
我所司拟于近期开展北交所股票启用新证券代码号段第二次全网测试,现将相关事项通知如下:
一、参测机构
北交所、全国股转公司、中国结算、深证通、证券公司、基金公司、信息商等。
二、测试时间
2024年3月30日
三、注意事项
测试场景和要求等见测试方案(附件1),请各参测机构按要求参加测试,及时提交测试反馈报告(附件2)。
测试期间产生的交易、行情数据均为模拟数据,不能作为生产环境任何交易、非交易业务依据。
特此通知。
附件:1.北交所股票启用新证券代码号段第二次全网测试方案
2.北交所股票启用新证券代码号段第二次全网测试反馈报告
北京证券交易所办公室 全国股转公司办公室
2024年3月29日
https://www.bse.cn/important_news/200021291.html
市小农 - 打新搬运
北证办发〔2024〕55号
各市场参与者:
我所司拟于近期开展北交所股票启用新证券代码号段第一次全网测试,现将相关事项通知如下:
一、参测机构
北交所、全国股转公司、中国结算、深证通、证券公司、基金公司、信息商等。
二、测试时间
2024年3月23日
三、注意事项
测试场景和要求等见测试方案(附件1),请各参测机构按要求参加测试,及时提交测试反馈报告(附件2)。
测试期间产生的交易、行情数据均为模拟数据,不能作为生产环境任何交易、非交易业务依据。
特此通知。
附件:1.北交所股票启用新证券代码号段第一次全网测试方案
2.北交所股票启用新证券代码号段第一次全网测试反馈报告
北京证券交易所办公室
2024年3月21日
https://www.bse.cn/important_news/200021223.html
市小农 - 打新搬运
赞同来自: Luff123D 、hanbing0356 、landandwater 、luckzpz 、gaokui16816888 、 、 、 、 、 、 、 、更多 »
市小农 - 打新搬运
各市场参与者:
我所拟于近期开展北京证券交易所(简称北交所)股票启用新证券代码号段仿真测试,现将相关事项通知如下:
一、参测机构
北交所、全国股转公司、中国结算、深证通、证券公司、基金公司、信息商等。
二、测试时间
第一轮仿真测试:2024年2月19日至2024年3月1日。
第二轮仿真测试:2024年3月4日至2024年3月15日。
周一到周五全天开放测试环境。
三、注意事项
1.仿真测试场景和要求等详见测试方案(附件1),请各参测机构按要求参加测试,及时提交测试反馈报告(附件2)。
2.测试期间产生的交易、行情数据均为模拟数据,不能作为生产环境任何交易、非交易业务依据。
特此通知。
https://www.bse.cn/important_news/200020740.html
市小农 - 打新搬运
赞同来自: 捡钢镚
各市场参与人:
为贯彻党中央、国务院关于机构改革的决策部署,落实中国证监会《关于高质量建设北京证券交易所的意见》要求,北京证券交易所有序推进公司(企业)债券市场开市筹备工作。目前,各项工作已准备就绪,定于2024年1月15日正式开市。
特此通知。
北京证券交易所
2024年1月12日
https://www.bse.cn/important_news/200020492.html
市小农 - 打新搬运
北交所,后面应该还有戏…2022年,北交所发行国债、地方政府债券合计0.95万亿元。
2023年1-11月,北交所发行国债、地方政府债券合计3.5万亿元。
为贯彻党中央、国务院关于机构改革的决策部署,落实中国证监会《关于高质量建设北京证券交易所的意见》(以下简称《意见》)要求,平稳推进北交所信用债券市场建设,经中国证监会批准,北京证券交易所(以下简称“北交所”)于2023年10月20日正式发布《北京证券交易所公司债券发行上市审核规则》《北京证券交易所公司债券发行承销规则》《北京证券交易所公司债券上市规则》《北京证券交易所债券交易规则》《北京证券交易所债券市场投资者适当性管理办法》5项基本业务规则。同时,北交所配套发布了12项指引和4项指南。上述规则自发布之日起施行,北交所将于2023年10月23日(周一)9时起正式启动公司债券(含企业债券)受理审核工作。
2023年10月25日-2023年11月30日,北交所已受理公司债券、企业债券项目合计21个,计划发行金额397亿元。其中,北京国资拟发行的50亿元公司债,于11月20日由证监会批复同意,成为北交所首单注册成功的信用债。
根据证监会统一部署,自2023年12月1日起,北京证券交易所(以下简称本所)正式启动公司债券(含企业债券)发行备案、簿记建档等发行承销业务。
数据来源
https://www.bse.cn/static/bond_statisticdata.html
https://www.bse.cn/important_news/200019250.html
https://www.bse.cn/xyz_issue/xyz_project_info.html
https://www.bse.cn/important_news/200019807.html
孔曼子
- 一名普通的职业投资者。本人没有公众号等自媒体和微信群,请勿上当。
赞同来自: Luff123D 、hanbing0356 、石门 、奇乐文化 、Provence 、 、 、 、 、 、 、 、 、 、 、 、 、 、 、 、 、 、 、 、 、 、 、 、 、 、 、 、更多 »
C国的学生不管成绩有多好,如果不出国留学,就只能选择两所大学之一就读。
后来C国政府看到想读大学的学生越来越多,政府首脑就宣布新开了一所大学——B大。
B大是新开的,所以招生分数线肯定要低一些。不过政府承诺,B大的优秀学生可以通过特别招生通道,转到H大和S大就读。
没想到B大招生两年后,只在初期有3名学生转学成功。后面还有学生想提转学申请,但都被不甘人下的校方给压下了,B大的口碑变得越来越差,甚至变得有些门可罗雀了。
政府一看不行,B大要黄了,政府的政绩何在?于是政府加大了对B大的政策扶持,同时要求B大必须加大招生规模,并开放转学通道。此外,还大大地减少了H大和S大的招生规模。
据说,今后除了少数特别优秀的学生可以直升H大或S大,大部分普通一点的学生,都必须先进入B大就读一年以上,才能转入H大或S大就读了。
你觉得,B大的未来发展会怎样呢?反正我听说,有好几名成绩相当不错,原来一直想上H大或S大的学生,已经提交了B大的入学申请书了。
Edge
Chrome
Firefox





























































京公网安备 11010802031449号